精英家教网 > 高中数学 > 题目详情

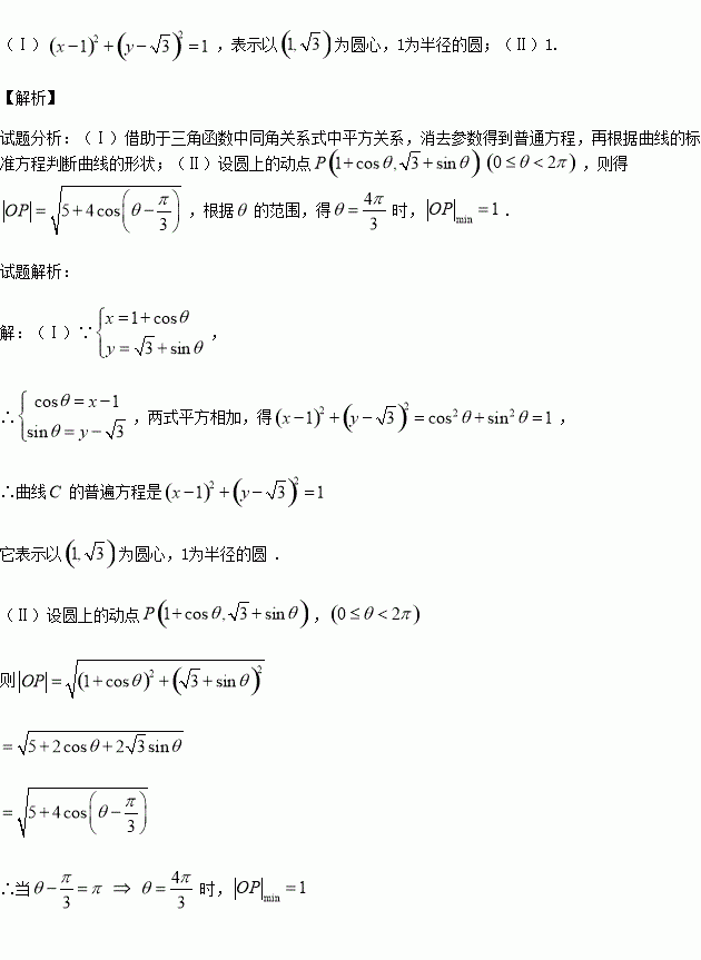
设方程为参数)表示曲线

(Ⅰ)写出曲线的普通方程,并说明它的轨迹;

(Ⅱ)求曲线上的动点到坐标原点距离的最小值。

练习册系列答案
相关习题

科目:高中数学 来源:2015-2016学年广东高州一中高二下学第一次月考文科数学试卷(解析版) 题型:选择题

根据如下样本数据:

3

4

5

6

7

8

4.0

2.5

0.5

得到的回归方程为,则( )

A. B.

C. D.

查看答案和解析>>

科目:高中数学 来源:2015-2016学年西藏日喀则一中高二下期末文科数学试卷(解析版) 题型:选择题

如图是函数)图象的一部分.为了得到这个函数的图象,只要将)的图象上所有的点( )

A.向左平移个单位长度,再把所有各点的横坐标缩短到原来的,纵坐标不变

B.向左平移个单位长度,再把所有各点的横坐标伸长到原来的倍,纵坐标不变

C.向左平移个单位长度,再把所有各点的横坐标缩短到原来的,纵坐标不变

D.向左平移个单位长度,再把所有各点的横坐标伸长到原来的倍,纵坐标不变

查看答案和解析>>

科目:高中数学 来源:2016届河南省高考押题一理科数学试卷(解析版) 题型:选择题

已知某椭圆的方程为,上顶点为,左顶点为,设是椭圆上的任意一点,且面积的最大值为,若已知,点为椭圆上的任意一点,则的最小值为( )

A.2 B. C.3 D.

查看答案和解析>>

科目:高中数学 来源:2016届河南省高考押题一理科数学试卷(解析版) 题型:选择题

已知数列为等差数列,满足,其中在一条直线上,为直线外一点,记数列的前项和为,则的值为( )

A. B.2015 C.2016 D.2013

查看答案和解析>>

科目:高中数学 来源:2015-2016学年广东省高二下期中文科数学试卷(解析版) 题型:解答题

已知等差数列满足

(Ⅰ)求数列的前项和

(Ⅱ)若,求值。

查看答案和解析>>

科目:高中数学 来源:2015-2016学年广东省高二下期中文科数学试卷(解析版) 题型:选择题

若函数的定义域为,则实数取值范围是( )

A. B.

C. D.

查看答案和解析>>

科目:高中数学 来源:2015-2016学年广东省高二下期中理科数学试卷(解析版) 题型:填空题

函数的最小正周期为

查看答案和解析>>

科目:高中数学 来源:2015-2016年江西省上饶市高二下期中理科数学试卷(解析版) 题型:填空题

已知使得成立,则实数a的取值范围是 .

查看答案和解析>>

同步练习册答案