精英家教网 > 高中数学 > 题目详情

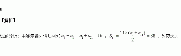
在等差数列中,已知,则该数列前11项和( )

A.58 B.88 C.143 D.176

练习册系列答案
相关习题

科目:高中数学 来源:2015-2016学年河南省高二12月月考文科数学卷(解析版) 题型:选择题

已知,则“”是“成立”的( )

A.充分不必要条件 B.必要不充分条件

C.充分必要条件 D.既不充分也不必要条件

查看答案和解析>>

科目:高中数学 来源:2015-2016学年山西省高二11月月考理科数学卷(解析版) 题型:选择题

一个棱锥的三视图如图,则该棱锥的表面积为( )

A. B. C. D.

查看答案和解析>>

科目:高中数学 来源:2015-2016学年江西省高二上第三次文科数学试卷(解析版) 题型:选择题

下列命题中正确的是( )

A.若为真命题,则为真命题

B.“”是“”的充分必要条件

C.命题“若,则”的逆否命题为“若,则

D.命题,使得,则,使得

查看答案和解析>>

科目:高中数学 来源:2016届宁夏吴忠中学高三上学期第四次月考理科数学试卷(解析版) 题型:选择题

已知复数,则复数在复平面内对应的点位于( )

A.第一象限 B.第二象限 C.第三象限 D.第四象限

查看答案和解析>>

科目:高中数学 来源:2015-2016学年甘肃天水一中高一上一学段中考试数学试卷(解析版) 题型:选择题

已知0<m<n<1,则指数函数①y=mx,②y=nx的图象为( ).

查看答案和解析>>

科目:高中数学 来源:2016届河北省邯郸市高三一轮考试二文科数学试卷(解析版) 题型:选择题

复数,则等于( )

A. B. C. D.

查看答案和解析>>

科目:高中数学 来源:2015-2016学年辽宁师大附中高一上12月月考数学试卷(解析版) 题型:选择题

在长方体中,,点的中点,点为对角线上的动点,点为底面上的动点(点可以重合),则的最小值为( )

A. B. C. D.

查看答案和解析>>

科目:高中数学 来源:2015-2016学年浙江省温州市十校联合体高二上学期期中考试数学试卷(解析版) 题型:选择题

已知直线轴和轴上的截距相等,则的值是( )

A.1 B.-1 C.-2或-1 D.-2或1

查看答案和解析>>

同步练习册答案