精英家教网 > 高中数学 > 题目详情

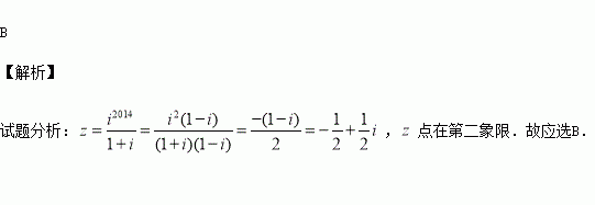
已知复数,则复数在复平面内对应的点位于( )

A.第一象限 B.第二象限 C.第三象限 D.第四象限

练习册系列答案
相关习题

科目:高中数学 来源:2015-2016学年河南省高二12月月考文科数学卷(解析版) 题型:解答题

设函数

(1)若不等式的解集.求的值;

(2)若.求的最小值.

查看答案和解析>>

科目:高中数学 来源:2015-2016学年山西省高二11月月考文科数学卷(解析版) 题型:选择题

,则的一个必要而不充分条件是( )

A. B. C. D.

查看答案和解析>>

科目:高中数学 来源:2015-2016学年江西省高二上第三次理科数学试卷(解析版) 题型:选择题

若动点曲线上变化,则的最大值为( )

A. B. C.6 D.8

查看答案和解析>>

科目:高中数学 来源:2016届宁夏吴忠中学高三上学期第四次月考理科数学试卷(解析版) 题型:解答题

已知抛物线上点到焦点的距离为4.

(1)求抛物线方程;

(2)点为准线上任意一点,为抛物线上过焦点的任意一条弦(如图),设直线的斜率为,问是否存在实数,使得恒成立.若存在,请求出的值;若不存在,请说明理由.

查看答案和解析>>

科目:高中数学 来源:2016届宁夏吴忠中学高三上学期第四次月考文科数学试卷(解析版) 题型:选择题

在等差数列中,已知,则该数列前11项和( )

A.58 B.88 C.143 D.176

查看答案和解析>>

科目:高中数学 来源:2016届河北省邯郸市高三一轮考试二文科数学试卷(解析版) 题型:解答题

已知函数

(1)若曲线处的切线与x轴平行,求函数的单调区间;

(2)当的最大值大于时,求a的取值范围.

查看答案和解析>>

科目:高中数学 来源:2015-2016学年内蒙古包头市高一上期中数学试卷(解析版) 题型:选择题

函数的单调递增区间是( )

A.(0,1) B.(-1,0) C. D.

查看答案和解析>>

科目:高中数学 来源:2015-2016学年浙江省温州市十校联合体高二上学期期中考试数学试卷(解析版) 题型:解答题

如图,四棱锥,平面平面边长为的等边三角形,底面是矩形,且

(Ⅰ)若点的中点,求证:平面

(Ⅱ)试问点在线段上什么位置时,二面角的大小为

查看答案和解析>>

同步练习册答案