精英家教网 > 高中数学 > 题目详情

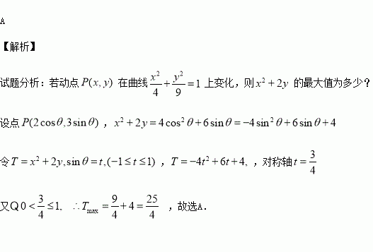
若动点曲线上变化,则的最大值为( )

A. B. C.6 D.8

练习册系列答案
相关习题

科目:高中数学 来源:2015-2016学年江苏省高一上期中数学试卷(解析版) 题型:填空题

已知函数

查看答案和解析>>

科目:高中数学 来源:2015-2016学年青海省西宁市高一上期中数学试卷(解析版) 题型:选择题

已知函数,则的值是( )

A. B.9 C.﹣9 D.﹣

查看答案和解析>>

科目:高中数学 来源:2015-2016学年山西省高二11月月考理科数学卷(解析版) 题型:选择题

一个棱锥的三视图如图,则该棱锥的表面积为( )

A. B. C. D.

查看答案和解析>>

科目:高中数学 来源:2015-2016学年江西省高二上第三次理科数学试卷(解析版) 题型:解答题

已知直线,曲线

(1)设相交于两点,求

(2)若把曲线上各点的横坐标压缩为原来的,纵坐标压缩为原来的得到曲线,设点是曲线上的一个动点,求它到直线的距离的最大值.

查看答案和解析>>

科目:高中数学 来源:2015-2016学年江西省高二上第三次文科数学试卷(解析版) 题型:选择题

下列命题中正确的是( )

A.若为真命题,则为真命题

B.“”是“”的充分必要条件

C.命题“若,则”的逆否命题为“若,则

D.命题,使得,则,使得

查看答案和解析>>

科目:高中数学 来源:2016届宁夏吴忠中学高三上学期第四次月考理科数学试卷(解析版) 题型:选择题

已知复数,则复数在复平面内对应的点位于( )

A.第一象限 B.第二象限 C.第三象限 D.第四象限

查看答案和解析>>

科目:高中数学 来源:2016届河北省邯郸市高三一轮考试二文科数学试卷(解析版) 题型:选择题

复数,则等于( )

A. B. C. D.

查看答案和解析>>

科目:高中数学 来源:2015-2016学年湖南省、攸县一中高二上期中理科数学试卷(解析版) 题型:选择题

中,,则BC=( )

A. B.3 C. D.7

查看答案和解析>>

同步练习册答案