精英家教网 > 高中数学 > 题目详情

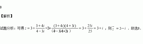
复数,则等于( )

A. B. C. D.

练习册系列答案
相关习题

科目:高中数学 来源:2015-2016学年江西新余一中高二上第一次段考理数学卷(解析版) 题型:填空题

若实数满足约束条件,且有最大值,则实数

查看答案和解析>>

科目:高中数学 来源:2015-2016学年江西省高二上第三次理科数学试卷(解析版) 题型:选择题

若动点曲线上变化,则的最大值为( )

A. B. C.6 D.8

查看答案和解析>>

科目:高中数学 来源:2016届宁夏吴忠中学高三上学期第四次月考文科数学试卷(解析版) 题型:选择题

在等差数列中,已知,则该数列前11项和( )

A.58 B.88 C.143 D.176

查看答案和解析>>

科目:高中数学 来源:2016届河北省邯郸市高三一轮考试二文科数学试卷(解析版) 题型:解答题

已知函数

(1)若曲线处的切线与x轴平行,求函数的单调区间;

(2)当的最大值大于时,求a的取值范围.

查看答案和解析>>

科目:高中数学 来源:2015-2016学年北大附中河南分校高二宏志班理科数学试卷(解析版) 题型:填空题

设变量满足,若的最大值是,则实数的值为

查看答案和解析>>

科目:高中数学 来源:2015-2016学年内蒙古包头市高一上期中数学试卷(解析版) 题型:选择题

函数的单调递增区间是( )

A.(0,1) B.(-1,0) C. D.

查看答案和解析>>

科目:高中数学 来源:2016届浙江省高三上学期期中理科数学试卷(解析版) 题型:选择题

已知双曲线)与抛物线有一个公共的焦点,且两曲线的一个交点为,若,则双曲线的离心率为( )

A. B. C. D.

查看答案和解析>>

科目:高中数学 来源:2015-2016学年湖南省、攸县一中高二上期中文科数学试卷(解析版) 题型:解答题

在△ABC中,角A,B,C所对的边分别为a,b,c,已知

(1)求角B的大小;

(2)若,求b的取值范围.

查看答案和解析>>

同步练习册答案