精英家教网 > 高中数学 > 题目详情

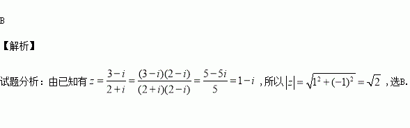
复数满足,则等于( )

A. B. C. D.

练习册系列答案
相关习题

科目:高中数学 来源:2017届江西鹰潭一中高三上学期月考二数学(理)试卷(解析版) 题型:选择题

命题“所有能被2整除的整数都是偶数”的否定是( )

A.所有不能被2整除的数都是偶数

B.所有能被2整除的整数都不是偶数

C.存在一个不能被2整除的数是偶数

D.存在一个能被2整除的数不是偶数

查看答案和解析>>

科目:高中数学 来源:2017届湖南石门县一中高三8月单元测数学(文)试卷(解析版) 题型:选择题

定义在上的函数对任意都有,且函数的图象关于成中心对称, 对于,总存在使不等式成立, 则的取值范围是( )

A. B. C. D.

查看答案和解析>>

科目:高中数学 来源:2016届江西新余市高三第二次模拟数学(文)试卷(解析版) 题型:填空题

从某班5位老师中随机选两位老师值班,有女老师被选中的概率为,则在这5位老师中,女老师有 人.

查看答案和解析>>

科目:高中数学 来源:2016届江西新余市高三第二次模拟数学(文)试卷(解析版) 题型:选择题

已知直线被圆截得的弦长为,则的最大值是( )

A. B. C. D.

查看答案和解析>>

科目:高中数学 来源:2017届河南百校联盟高三9月质监乙卷数学(文)试卷(解析版) 题型:解答题

为了了解某学校高二年级学生的物理成绩,从中抽取名学生的物理成绩(百分制)作为样本,按成绩分成5组:,频率分布直方图如图所示,成绩落在中的人数为20.

男生

女生

合计

优秀

不优秀

合计

(1)求的值;

(2)根据样本估计总体的思想,估计该校高二学生物理成绩的平均数和中位数

(3)成绩在80分以上(含80分)为优秀,样本中成绩落在中的男、女生人数比为1:2,成绩落在中的男、女生人数比为3:2,完成列联表,并判断是否所有95%的把握认为物理成绩优秀与性别有关.

参考公式和数据:

0.50

0.05

0.025

0.005

0.455

3.841

5.024

7.879

查看答案和解析>>

科目:高中数学 来源:2017届河南百校联盟高三9月质监乙卷数学(文)试卷(解析版) 题型:选择题

在各项均为正数的等比数列中,若,则的最小值为( )

A.12 B. C. D.

查看答案和解析>>

科目:高中数学 来源:2017届河南百校联盟高三9月质监乙卷数学(理)试卷(解析版) 题型:解答题

中,角的对边分别为,且

(1)求角的大小;

(2)若的面积为,求的值.

查看答案和解析>>

科目:高中数学 来源:2017届山东师大附中高三上学期一模考试数学(理)试卷(解析版) 题型:解答题

已知函数处有极值.

(Ⅰ)求的值;

(Ⅱ)求的单调区间.

查看答案和解析>>

同步练习册答案