精英家教网 > 高中数学 > 题目详情

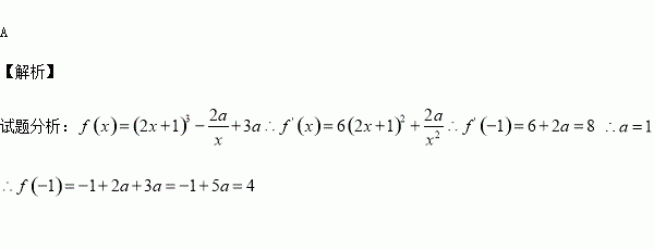
已知,若,则

A.4 B.5 C. D.

练习册系列答案
相关习题

科目:高中数学 来源:2014-2015学年上海市高二下学期期末考试数学试卷(解析版) 题型:填空题

经过抛物线的焦点,且以为方向向量的直线的方程是

查看答案和解析>>

科目:高中数学 来源:2015-2016学年湖南省高一上学期期中考试数学试卷(解析版) 题型:解答题

已知全集,集合

(1)用列举法表示集合A与B;

(2)求

查看答案和解析>>

科目:高中数学 来源:2015-2016学年河北省邢台市高二上第一次月考数学试卷(解析版) 题型:解答题

如图几何体上半部分是母线长为5,底面圆半径为3的圆锥,下半部分是下底面圆半径为2,母线长为2的圆台,计算该几何体的表面积和体积。

查看答案和解析>>

科目:高中数学 来源:2015-2016学年广东省普宁市高二上期中文科数学试卷(解析版) 题型:选择题

若直线交抛物线于A,B两点,且线段AB中点到轴的距离为3,则

( )

A、12 B、10 C、8 D、6

查看答案和解析>>

科目:高中数学 来源:2016届重庆市高三上学期第三次月考文科数学试卷(解析版) 题型:选择题

如图,动点在正方体的对角线上,过点作垂直于平面的直线,与正方体表面相交于,设,则函数的图像大致是( )

查看答案和解析>>

科目:高中数学 来源:2016届重庆市高三上学期第三次月考理科数学试卷(解析版) 题型:选择题

已知满足约束条件则目标函数的最大值为( )

A.1 B.3 C. D.

查看答案和解析>>

科目:高中数学 来源:2016届辽宁省葫芦岛市高三上学期期中文科数学试卷(解析版) 题型:选择题

已知,是虚数单位,若,则 ( )

A. B. C. D.

查看答案和解析>>

科目:高中数学 来源:2015-2016学年江西南昌二中高二上学期期中文科数学试卷(解析版) 题型:选择题

与双曲线有共同的渐近线,且过点(2,2)的双曲线方程为

A. B.

C. D.

查看答案和解析>>

同步练习册答案