精英家教网 > 高中数学 > 题目详情

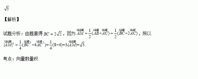
在△ABC中,∠C=90°,M是BC的中点,.若sinB=,则=________.

练习册系列答案
相关习题

科目:高中数学 来源:2014-2015学年上海市闵行区高三下学期质量调研考试(二模)理科数学试卷(解析版) 题型:填空题

已知等比数列满足,则= .

查看答案和解析>>

科目:高中数学 来源:2014-2015学年山东省文登市高三第二次模拟考试理科数学试卷(解析版) 题型:选择题

为实数,表示不超过的最大整数,则函数上为

A.增函数 B.周期函数 C.奇函数 D.偶函数

查看答案和解析>>

科目:高中数学 来源:2014-2015学年江苏高考南通密卷三数学试卷(解析版) 题型:解答题

(本小题满分14分)在四棱锥中,平面,是边长为4的正三角形,的交点恰好是中点,又,点在线段上,且.

(1)求证:

(2)求证:平面.

查看答案和解析>>

科目:高中数学 来源:2014-2015学年江苏高考南通密卷三数学试卷(解析版) 题型:填空题

已知如图所示的多面体中,四边形ABCD是菱形,四边形BDEF是矩形,ED⊥平面ABCD,∠BAD=.若BF=BD=2,则多面体的体积 .

查看答案和解析>>

科目:高中数学 来源:2014-2015学年江苏高考南通密卷二数学试卷(解析版) 题型:填空题

(本小题满分10分)直三棱柱中,已知. 的中点.

(1)求直线与平面所成角的正弦值;

(2)求二面角的大小的余弦值.

查看答案和解析>>

科目:高中数学 来源:2014-2015学年江苏高考南通密卷二数学试卷(解析版) 题型:解答题

(本小题满分16分)已知椭圆的离心率为,并且椭圆经过点,过原点的直线与椭圆交于两点,椭圆上一点满足

(1)求椭圆的方程;

(2)证明:为定值;

(3)是否存在定圆,使得直线绕原点转动时,恒与该定圆相切,若存在,求出该定圆的方程,若不存在,说明理由.

查看答案和解析>>

科目:高中数学 来源:2014-2015学年江苏高考南通密卷二数学试卷(解析版) 题型:填空题

已知集合,且,则实数的值为 .

查看答案和解析>>

科目:高中数学 来源:2014-2015学年广东省深圳市高三第二次调研考试理科数学试卷(解析版) 题型:选择题

平面向量,若,则等于

A. B. C. D.

查看答案和解析>>

同步练习册答案