精英家教网 > 高中数学 > 题目详情

已知数列满足().

(1)求的值;

(2)求(用含的式子表示);

(3) (理)记数列的前项和为,求(用含的式子表示).


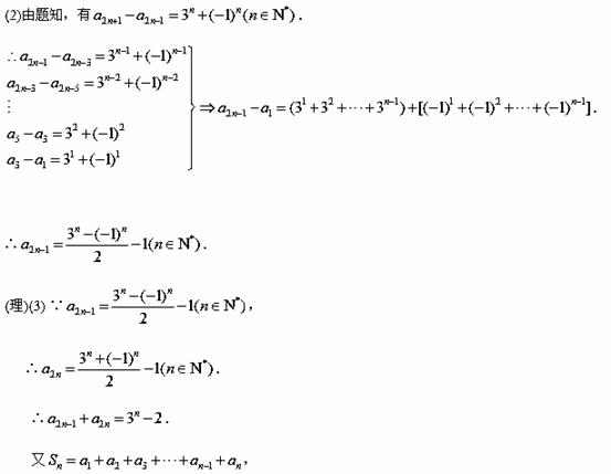
试题解析:(1) (),

                               

为偶数时,

         

          .                      为奇数时,

                   .                  

综上,有       

考点:(1)数列的项;(2)数列的通项公式;(3)数列的前项和与分组求和.


练习册系列答案
相关习题

科目:高中数学 来源: 题型:


在极坐标系中,求曲线=2cosθ关于直线θ(R)对称的曲线的极坐标方程.

查看答案和解析>>

科目:高中数学 来源: 题型:


阅读如图所示的程序框图,若输入,则输出的k值为____________.

查看答案和解析>>

科目:高中数学 来源: 题型:


定义函数,其中表示不小于的最小整数,如.当)时,函数的值域为,记集合中元素的个数为,则________________.

查看答案和解析>>

科目:高中数学 来源: 题型:


函数图像上存在不同的三点到原点的距离构成等比数列,则以下不可能成为公比的数是-------------------- (   )

A.             B.               C.            D.

查看答案和解析>>

科目:高中数学 来源: 题型:


存在,则实数的取值范围是_____________.

查看答案和解析>>

科目:高中数学 来源: 题型:


计算:=_________.

查看答案和解析>>

科目:高中数学 来源: 题型:


已知无穷数列具有如下性质:①为正整数;②对于任意的正整数,当为偶数时,;当为奇数时,.在数列中,若当时,,当时,),则首项可取数值的个数为    (用表示)

查看答案和解析>>

科目:高中数学 来源: 题型:


定义:对于函数,若存在非零常数,使函数对于定义域内的任意实数,都有,则称函数是广义周期函数,其中称为函数的广义周期,称为周距.

(1)证明函数是以2为广义周期的广义周期函数,并求出它的相应周距的值;

(2)试求一个函数,使为常数,)为广义周期函数,并求出它的一个广义周期和周距

(3)设函数是周期的周期函数,当函数上的值域为时,求上的最大值和最小值.

查看答案和解析>>

同步练习册答案