精英家教网 > 高中数学 > 题目详情

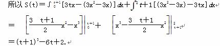
已知二次函数f(x)=3x2-3x,直线l1:x=2和l2:y=3tx(其中t为常数,且0<t<1),直线l2与函数f(x)的图象以及直线l1、l2与函数f(x)的图象所围成的封闭图形如图K15-3,设这两个阴影区域的面积之和为S(t).

(1)求函数S(t)的解析式;

(2)定义函数h(x)=S(x),x∈R.若过点A(1,m)(m≠4)可作曲线yh(x)(x∈R)的三条切线,求实数m的取值范围.


解析  (1)由得x2-(t+1)x=0,

所以x1=0,x2=t+1.

所以直线l2与f(x)的图象的交点的横坐标分别为0,t+1.

因为0<t<1,所以1<t+1<2.

 

(2)依据定义,h(x)=(x+1)3-6x+2,x∈R,

h′(x)=3(x+1)2-6.

因为m≠4,则点A(1,m)不在曲线yh(x)上.

过点A作曲线yh(x)的切线,设切点为M(x0y0),

则3(x0+1)2-6=

化简整理得2x-6x0m=0,其有三个不等实根.

g(x0)=2x-6x0m,则g′(x0)=6x-6.

g′(x0)>0,得x0>1或x0<-1;

g′(x0)<0,得-1<x0<1,

所以g(x0)在区间(-∞,-1),(1,+∞)上单调递增,在(-1,1)上单调递减,

所以当x0=-1时,函数g(x0)取极大值;

x0=1时,函数g(x0)取极小值.

因此,关于x0的方程2x-6x0m=0有三个不等实根的充要条件是

即-4<m<4.

故实数m的取值范围是(-4,4).


练习册系列答案
相关习题

科目:高中数学 来源: 题型:


 2009年,浙江吉利与褔特就收购福特旗下的沃尔沃达成初步协议,吉利计划投资20亿美元来发展该品牌.据专家预测,从2009年起,沃尔沃汽车的销售量每年比上一年增加10000辆(2009年销售量为20000辆),销售利润每辆每年比上一年减少10%(2009年销售利润为2万美元/辆).

(1)第n年的销售利润为多少?

(2)求到2013年年底,浙江吉利能否实现盈利(即销售利润超过总投资,0.95≈0.59).

查看答案和解析>>

科目:高中数学 来源: 题型:


已知函数f(x)=x3ax2+(a+6)x+1有极大值和极小值,则实数a的取值范围是(  ).

A.(-1,2)                                         B.(-∞,-3)∪(6,+∞)

C.(-3,6)                                         D.(-∞,-1)∪(2,+∞)

查看答案和解析>>

科目:高中数学 来源: 题型:


一物体以v=9.8t+6.5(单位:m/s)的速度自由下落,则下落后第二个4 s内经过的路程是(  )

A.260 m                        B.258 m

C.259 m                        D.261.2 m

查看答案和解析>>

科目:高中数学 来源: 题型:


=________.

查看答案和解析>>

科目:高中数学 来源: 题型:


已知角的顶点与原点重合,始边与x轴的正半轴重合,终边在直线上,则(     )

A.            B.            C.              D.

查看答案和解析>>

科目:高中数学 来源: 题型:


函数y的定义域是________.

查看答案和解析>>

科目:高中数学 来源: 题型:


.

查看答案和解析>>

科目:高中数学 来源: 题型:


已知α是第二象限角,且sin(π+α)=-,则tan2α的值为(  )

A.               B.-          C.-           D.-

查看答案和解析>>

同步练习册答案