精英家教网 > 高中数学 > 题目详情
已知椭圆的两个焦点分别是F1、F2,△MF1F2的重心G恰为椭圆上的点,则点M的轨迹方程为   
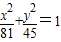
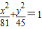
【答案】分析:设重心(x1,y1),M(x,y) 而F1(2,0),F2(-2,0)由重心坐标公式得,因为重心在椭圆上,所以,由此可知M的轨迹方程.
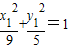
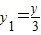
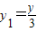
解答:解:设重心(x1,y1),M(x,y) 而F1(2,0),F2(-2,0)由重心坐标公式得

∵重心在椭圆上.

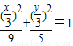
所以

所以M的轨迹方程为:
(x≠±9).
答案:(x≠±9).
点评:本题考查椭圆的性质和应用,解题时要认真审题,仔细解答.
练习册系列答案
相关习题

科目:高中数学 来源: 题型:

已知椭圆的两个焦点分别是F1(0,-2
2
),F2(0,2
2
)
,离心率e=
2
2
3

(1)求椭圆的方程;
(2)一条不与坐标轴平行的直线l与椭圆交于不同的两点M,N,且线段MN中点的横坐标为-
1
2
,求直线l的倾斜角的范围.

查看答案和解析>>

科目:高中数学 来源: 题型:

求下列各曲线的标准方程.
(1)已知椭圆的两个焦点分别是(-2,0),(2,0),并且经过点(
5
2
,-
3
2
).
(2)已知抛物线焦点在x轴上,焦点到准线的距离为6.

查看答案和解析>>

科目:高中数学 来源:2012年山东省高考模拟预测卷(四)文科数学试卷(解析版) 题型:解答题

给定椭圆  ,称圆心在坐标原点,半径为的圆是椭圆的“伴随圆”. 已知椭圆的两个焦点分别是,椭圆上一动点满足

(Ⅰ)求椭圆及其“伴随圆”的方程;

(Ⅱ)过点P作直线,使得直线与椭圆只有一个交点,且截椭圆的“伴随圆”所得的弦长为.求出的值.

 

查看答案和解析>>

科目:高中数学 来源:2010-2011学年广东省汕头市高三第一次模拟考试数学理卷 题型:解答题

((本小题满分14分)

给定椭圆  ,称圆心在坐标原点,半径为的圆是椭圆的“伴随圆”. 已知椭圆的两个焦点分别是,椭圆上一动点满足

(Ⅰ)求椭圆及其“伴随圆”的方程

(Ⅱ)试探究y轴上是否存在点(0, ),使得过点作直线与椭圆只有一个交点,且截椭圆的“伴随圆”所得的弦长为.若存在,请求出的值;若不存在,请说明理由。

 

查看答案和解析>>

科目:高中数学 来源:2010-2011学年广东省汕头市高三第一次模拟考试数学文卷 题型:解答题

(本小题满分14分)

给定椭圆  ,称圆心在坐标原点,半径为的圆是椭圆的“伴随圆”. 已知椭圆的两个焦点分别是,椭圆上一动点满足

(Ⅰ) 求椭圆及其“伴随圆”的方程;

(Ⅱ) 过点P作直线,使得直线与椭圆只有一个交点,且截椭圆的“伴随圆”所得的弦长为.求出的值.

 

查看答案和解析>>

同步练习册答案