精英家教网 > 高中数学 > 题目详情

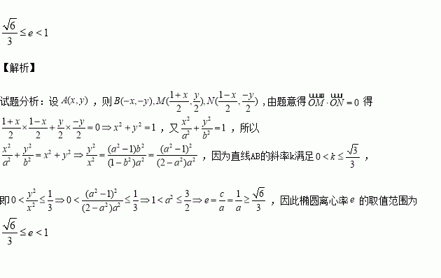
已知椭圆的右焦点为,设A,B为椭圆上关于原点对称的两点,AF的中点为M,BF的中点为N,原点O在以线段MN为直径的圆上.若直线AB的斜率k满足,则椭圆离心率的取值范围为

练习册系列答案
相关习题

科目:高中数学 来源:2015-2016学年浙江省温州市高一上学期期中考试数学试卷(解析版) 题型:解答题

已知集合

(1)当时,求;.

(2)若,求实数的取值范围.

查看答案和解析>>

科目:高中数学 来源:2016届河北省高三上学期四调文科数学试卷(解析版) 题型:解答题

(本小题满分12分)

已知,直线

(1)函数处的切线与直线平行,求实数的值;

(2)若至少存在一个使成立,求实数的取值范围;

(3)设,当的图象恒在直线的上方,求的最大值.

查看答案和解析>>

科目:高中数学 来源:2015-2016学年吉林省高二11月月考理科数学卷(解析版) 题型:解答题

(本小题满分12分)

已知椭圆的离心率为,其中左焦点

(Ⅰ)求椭圆的方程;

(Ⅱ)若直线与椭圆交于不同的两点,且线段的中点在圆

上,求的值.

查看答案和解析>>

科目:高中数学 来源:2015-2016学年湖北武汉华中师大一附高一上期中数学试卷(解析版) 题型:填空题

实数,则实数的大小关系为

查看答案和解析>>

科目:高中数学 来源:2016届宁夏六盘山高中高三上学期第二次月考文科数学试卷(解析版) 题型:解答题

已知函数的最大值为3,函数的图象上相邻两对称轴间的距离为,且

(1)求函数的解析式;

(2)将的图象向左平移个单位,再向下平移1个单位后得到函数的图象,试判断的奇偶性,并求出在R上的单调递增区间.

查看答案和解析>>

科目:高中数学 来源:2016届宁夏六盘山高中高三上学期第二次月考理科数学试卷(解析版) 题型:解答题

已知函数

(1)若,求函数的极值;

(2)设函数,求函数的单调区间;

(3)若在上存在一点,使得成立,求的取值范围.

查看答案和解析>>

科目:高中数学 来源:2016届湖南省株洲市高三上学期期中文科数学试卷(解析版) 题型:选择题

如图,点是线段的中点,,且,则

A. B. C. D.

查看答案和解析>>

科目:高中数学 来源:2015-2016学年湖南衡阳八中高二上第二次月考文科数学卷(解析版) 题型:选择题

设双曲线的右焦点为,过点作与轴垂直的直线交两渐近线于两点,与双曲线的其中一个交点为,设坐标原点为,若,则该双曲线的离心率为( )

A. B. C. D.

查看答案和解析>>

同步练习册答案