精英家教网 > 高中数学 > 题目详情

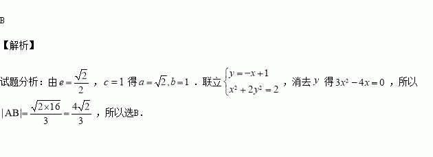
已知直线与椭圆相交于A、B两点,若椭圆的离心率为,焦距为2,则线段AB的长是( )

A. B. C. D.

练习册系列答案
相关习题

科目:高中数学 来源:2016届湖南省长沙市高三上学期月考五文科数学试卷(解析版) 题型:填空题

设x,y满足约束条件,则的最大值为_______.

查看答案和解析>>

科目:高中数学 来源:2015-2016学年江苏省南通市高二上学期期中考试数学试卷(解析版) 题型:填空题

在平面直角坐标系中,直线的倾斜角的大小是

查看答案和解析>>

科目:高中数学 来源:2015-2016学年吉林省高一上学期期末数学试卷(解析版) 题型:填空题

已知扇形的面积为4,圆心角为2弧度,则该扇形的弧长为

查看答案和解析>>

科目:高中数学 来源:2016届云南师范大学附属中学高三月考四理科数学试卷(解析版) 题型:选择题

过双曲线的右焦点作直线交双曲线于A,B两点,则满足的直线有( )

A.4 B.3 C.2 D.1

查看答案和解析>>

科目:高中数学 来源:2015-2016年宁夏银川唐徕回民中学高一上10月考数学卷(解析版) 题型:选择题

已知函数,则=( )

A.2 B.-2 C. D.

查看答案和解析>>

科目:高中数学 来源:2016届重庆市高三12月月考理科数学试卷(解析版) 题型:解答题

已知存在实数使得

(1)若,求的值;

(2)当时,若存在实数使得对任意恒成立,求的最值.

查看答案和解析>>

科目:高中数学 来源:2015-2016学年内蒙古巴彦淖尔一中高二上期中理科数学卷(解析版) 题型:解答题

已知双曲线的焦点为,且离心率为2;

(1)求双曲线的标准方程;

(2)若经过点的直线交双曲线两点,且的中点,求直线的方程.

查看答案和解析>>

科目:高中数学 来源:2016届山东省高三上12月月考文科数学试卷(解析版) 题型:填空题

(2015秋•枣庄校级月考)下面给出的四个命题中:

①若m=﹣2,则直线(m+2)x+my+1=0与直线(m﹣2)x+(m+2)y﹣3=0相互垂直;

②命题“?x∈R,使得x2+3x+4=0”的否定是“?x∈R,都有x2+3x+4≠0”;

③将函数y=sin2x的图象向右平移个单位,得到函数的图象.

其中是真命题的有 (将你认为正确的序号都填上).

查看答案和解析>>

同步练习册答案