精英家教网 > 高中数学 > 题目详情

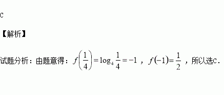
已知函数,则=( )

A.2 B.-2 C. D.

练习册系列答案
相关习题

科目:高中数学 来源:2015-2016学年云南省蒙自市高二10月月考文科数学试卷(解析版) 题型:填空题

为了在一条河上建一座桥,施工前在河的两岸打上两个桥位桩(如图),要测量两点之间的距离,测量人员在岸边定出基线,测得,则两点之间的距离为

查看答案和解析>>

科目:高中数学 来源:2015-2016学年江苏省南通市高一上第一阶段考试数学试卷(解析版) 题型:解答题

已知函数是定义在R上的偶函数,且当≤0时,

(1)现已画出函数在y轴左侧的图像,如图所示,请补出完整函数的图像,并根据图像写出函数的增区间;

(2)写出函数的解析式和值域.

查看答案和解析>>

科目:高中数学 来源:2016届云南师范大学附属中学高三月考四理科数学试卷(解析版) 题型:解答题

如图,在四棱锥中,底面ABCD是菱形,,侧面底面ABCD,并且,F为SD的中点.

(1)求三棱锥的体积;

(2)求直线BD与平面FAC所成角的正弦值.

查看答案和解析>>

科目:高中数学 来源:2015-2016学年河南省高二12月考理科数学试卷(解析版) 题型:选择题

已知直线与椭圆相交于A、B两点,若椭圆的离心率为,焦距为2,则线段AB的长是( )

A. B. C. D.

查看答案和解析>>

科目:高中数学 来源:2015-2016学年福建三明一中高二上第二次月考理科数学卷(解析版) 题型:选择题

函数在区间上最大值与最小值分别是( )

A.5,-4 B.5,-15 C.-4,-15 D.5,-16

查看答案和解析>>

科目:高中数学 来源:2016届重庆市高三12月月考理科数学试卷(解析版) 题型:选择题

已知复数,且有,则( )

A.5 B. C.3 D.

查看答案和解析>>

科目:高中数学 来源:2016届上海市七校高三上12月联考文科数学试卷(解析版) 题型:解答题

(2015秋•上海月考)已知椭圆E的长轴长与焦距比为2:1,左焦点F(﹣2,0),一定点为P(﹣8,0).

(1)求椭圆E的标准方程;

(2)过P的直线与椭圆交于P1、P2两点,设直线P1F、P2F的斜率分别为k1、k2,求证:k1+k2=0.

(3)求△P1P2F面积的最大值.

查看答案和解析>>

科目:高中数学 来源:2016届宁夏石嘴山三中高三补习班上第三次适应性考试数学试卷(解析版) 题型:填空题

(2015秋•石嘴山校级月考)函数f(x)=x+|x﹣2|的值域是

查看答案和解析>>

同步练习册答案