精英家教网 > 高中数学 > 题目详情

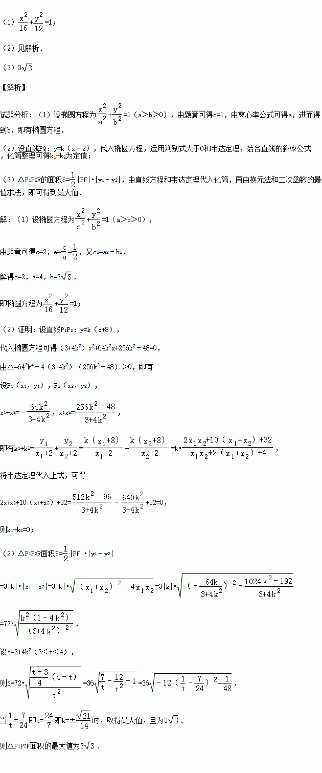
(2015秋•上海月考)已知椭圆E的长轴长与焦距比为2:1,左焦点F(﹣2,0),一定点为P(﹣8,0).

(1)求椭圆E的标准方程;

(2)过P的直线与椭圆交于P1、P2两点,设直线P1F、P2F的斜率分别为k1、k2,求证:k1+k2=0.

(3)求△P1P2F面积的最大值.

练习册系列答案
相关习题

科目:高中数学 来源:2015-2016学年浙江省金兰教育合作组织高一上学期期中联考数学试卷(解析版) 题型:填空题

查看答案和解析>>

科目:高中数学 来源:2015-2016年宁夏银川唐徕回民中学高一上10月考数学卷(解析版) 题型:选择题

已知函数,则=( )

A.2 B.-2 C. D.

查看答案和解析>>

科目:高中数学 来源:2015-2016学年河北省高一上周考数学试卷(解析版) 题型:选择题

( )

A. B. C. D.

查看答案和解析>>

科目:高中数学 来源:2015-2016学年内蒙古巴彦淖尔一中高二上期中理科数学卷(解析版) 题型:解答题

已知双曲线的焦点为,且离心率为2;

(1)求双曲线的标准方程;

(2)若经过点的直线交双曲线两点,且的中点,求直线的方程.

查看答案和解析>>

科目:高中数学 来源:2016届上海市七校高三上12月联考文科数学试卷(解析版) 题型:填空题

(2015秋•上海月考)已知||=2,||=1,的夹角为,则=

查看答案和解析>>

科目:高中数学 来源:2016届上海市高三上12月月考理科数学试卷(解析版) 题型:解答题

(2011•闵行区三模)某工厂因排污比较严重,决定着手整治,一个月时污染度为60,整治后前四个月的污染度如表:

月数

1

2

3

4

污染度

60

31

13

0

污染度为0后,该工厂即停止整治,污染度又开始上升,现用下列三个函数模拟从整治后第一个月开始工厂的污染模式:f(x)=20|x﹣4|(x≥1),,其中x表示月数,f(x)、g(x)、h(x)分别表示污染度.

(1)问选用哪个函数模拟比较合理?并说明理由;

(2)若以比较合理的模拟函数预测,整治后有多少个月的污染度不超过60?

查看答案和解析>>

科目:高中数学 来源:2016届陕西省商洛市高三上第二次模拟文科数学试卷(解析版) 题型:选择题

(2012春•朝阳区期末)不等式的解集是( )

A.

B.

C.

D.

查看答案和解析>>

科目:高中数学 来源:2016届河南省高三上第八次月考数学试卷(解析版) 题型:选择题

(2015•武汉校级模拟)设x,y满足不等式组,若z=ax+y的最大值为2a+4,最小值为a+1,则实数a的取值范围为( )

A.[﹣1,2] B.[﹣2,1]

C.[﹣3,﹣2] D.[﹣3,1]

查看答案和解析>>

同步练习册答案