精英家教网 > 高中数学 > 题目详情

练习册系列答案
相关习题

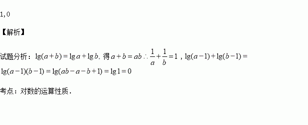
科目:高中数学 来源:2015-2016学年福建厦门双十中学高二上期中文科数学试卷(解析版) 题型:选择题

设不等式组所表示的平面区域为,记内的整点(横坐标和纵坐标均为整数的点)个数为,若对于任意的正整数恒成立,则实数的取值范围是 ( ).

A. B.

C. D.

查看答案和解析>>

科目:高中数学 来源:2015-2016学年云南省蒙自市高二10月月考文科数学试卷(解析版) 题型:填空题

为了在一条河上建一座桥,施工前在河的两岸打上两个桥位桩(如图),要测量两点之间的距离,测量人员在岸边定出基线,测得,则两点之间的距离为

查看答案和解析>>

科目:高中数学 来源:2015-2016学年四川省雅安市高二11月月考理科数学试卷(解析版) 题型:填空题

某几何体的三视图如图所示,则它的体积为____________.

查看答案和解析>>

科目:高中数学 来源:2015-2016学年云南省蒙自市高一10月月考数学试卷(解析版) 题型:选择题

设I为全集,集合M,N,P都是其子集,则图中的阴影部分表示的集合为( ).

A.M ∩(N∪P) B.M ∩(P ∩IN) C.P ∩(IN ∩IM) D.(M ∩N)∪(M ∩P)

查看答案和解析>>

科目:高中数学 来源:2015-2016学年江苏省南通市高二上学期期中考试数学试卷(解析版) 题型:填空题

已知圆,圆,动圆与圆外切,与圆内切,则动圆圆心的轨迹方程是

查看答案和解析>>

科目:高中数学 来源:2015-2016学年江苏省南通市高一上第一阶段考试数学试卷(解析版) 题型:解答题

已知函数是定义在R上的偶函数,且当≤0时,

(1)现已画出函数在y轴左侧的图像,如图所示,请补出完整函数的图像,并根据图像写出函数的增区间;

(2)写出函数的解析式和值域.

查看答案和解析>>

科目:高中数学 来源:2016届云南师范大学附属中学高三月考四理科数学试卷(解析版) 题型:解答题

如图,在四棱锥中,底面ABCD是菱形,,侧面底面ABCD,并且,F为SD的中点.

(1)求三棱锥的体积;

(2)求直线BD与平面FAC所成角的正弦值.

查看答案和解析>>

科目:高中数学 来源:2016届上海市七校高三上12月联考文科数学试卷(解析版) 题型:解答题

(2015秋•上海月考)已知椭圆E的长轴长与焦距比为2:1,左焦点F(﹣2,0),一定点为P(﹣8,0).

(1)求椭圆E的标准方程;

(2)过P的直线与椭圆交于P1、P2两点,设直线P1F、P2F的斜率分别为k1、k2,求证:k1+k2=0.

(3)求△P1P2F面积的最大值.

查看答案和解析>>

同步练习册答案