精英家教网 > 高中数学 > 题目详情

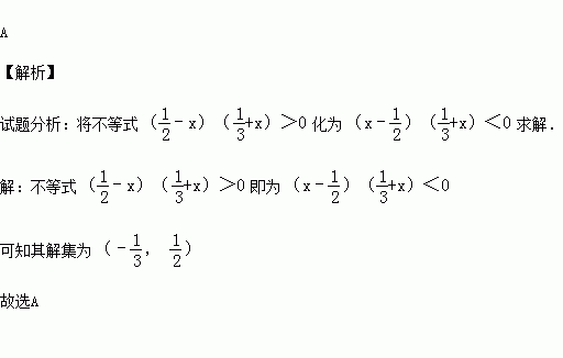
(2012春•朝阳区期末)不等式的解集是( )

A.

B.

C.

D.

练习册系列答案
相关习题

科目:高中数学 来源:2016届云南师范大学附属中学高三月考四理科数学试卷(解析版) 题型:解答题

如图,在四棱锥中,底面ABCD是菱形,,侧面底面ABCD,并且,F为SD的中点.

(1)求三棱锥的体积;

(2)求直线BD与平面FAC所成角的正弦值.

查看答案和解析>>

科目:高中数学 来源:2016届上海市七校高三上12月联考文科数学试卷(解析版) 题型:解答题

(2015秋•上海月考)已知椭圆E的长轴长与焦距比为2:1,左焦点F(﹣2,0),一定点为P(﹣8,0).

(1)求椭圆E的标准方程;

(2)过P的直线与椭圆交于P1、P2两点,设直线P1F、P2F的斜率分别为k1、k2,求证:k1+k2=0.

(3)求△P1P2F面积的最大值.

查看答案和解析>>

科目:高中数学 来源:2016届上海市高三上12月月考理科数学试卷(解析版) 题型:填空题

(2013秋•龙山县校级期末)设集合,B={x|log4(x+a)<1},若A∩B=∅,则实数a的取值范围是

查看答案和解析>>

科目:高中数学 来源:2016届陕西省商洛市高三上第二次模拟文科数学试卷(解析版) 题型:解答题

(2015•天津)在△ABC中,内角A,B,C所对的边分别为a,b,c,已知△ABC的面积为3,b﹣c=2,cosA=﹣

(Ⅰ)求a和sinC的值;

(Ⅱ)求cos(2A+)的值.

查看答案和解析>>

科目:高中数学 来源:2016届陕西省商洛市高三上第二次模拟理科数学试卷(解析版) 题型:填空题

(2015秋•商洛月考)等差数列{an}的前n项和为Sn,若a2+a7+a12=15,则S13的值是( )

A.45 B.65 C.80 D.130

查看答案和解析>>

科目:高中数学 来源:2016届宁夏石嘴山三中高三补习班上第三次适应性考试数学试卷(解析版) 题型:填空题

(2015秋•石嘴山校级月考)函数f(x)=x+|x﹣2|的值域是

查看答案和解析>>

科目:高中数学 来源:2016届宁夏石嘴山三中高三上第三次适应性考试理科数学试卷(解析版) 题型:选择题

(2015•郑州一模)已知定义在R上的函数f(x)满足f(﹣1)=f(3)=1,f′(x)为f(x)的导函数,且导函数y=f′(x)的图象如图所示.则不等式f(x)<1的解集是( )

A.(﹣1,0) B.(﹣1,3)

C.(0,3) D.(﹣∞,﹣1)(3,+∞)

查看答案和解析>>

科目:高中数学 来源:2015-2016学年四川省高二上期中文科数学试卷(解析版) 题型:填空题

如图,正方体的棱长为1,线段上有两个动点,且,则下列结论中正确的有 .(填写你认为正确的序号)

③若上的一动点,则三棱锥的体积为定值;

④在空间与直线都相交的直线只有1条。

查看答案和解析>>

同步练习册答案