精英家教网 > 高中数学 > 题目详情

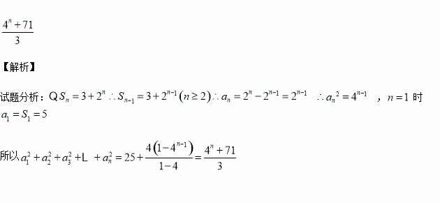
如果数列{an}的前n项之和为Sn=3+2n,那么=

练习册系列答案
相关习题

科目:高中数学 来源:2015-2016学年重庆市高一上学期期中数学试卷(解析版) 题型:解答题

函数

(1)判断并证明函数的奇偶性;

(2)求不等式的解集.

查看答案和解析>>

科目:高中数学 来源:2015-2016学年河北省高一上学期期中数学试卷(解析版) 题型:选择题

已知,则( )

A. B. C. D.

查看答案和解析>>

科目:高中数学 来源:2015-2016学年江苏省高邮市高一上学期期中调研数学试卷(解析版) 题型:解答题

已知函数为实常数).

(1)若,求的单调区间(直接写结果);

(2)若,设在区间的最小值为,求的表达式;

(3)设,若函数在区间上是增函数,求实数的取值范围.

查看答案和解析>>

科目:高中数学 来源:2015-2016学年吉林省扶余市高一上学期期中考试数学试卷(解析版) 题型:填空题

如图是△AOB用斜二测画法画出的直观图,则△AOB的面积是________.

查看答案和解析>>

科目:高中数学 来源:2015-2016学年河南省英文学校高二上学期期中考试数学试卷(解析版) 题型:解答题

铁矿石A和B的含铁率a,冶炼每万吨铁矿石的CO2的排放量b及每万吨铁矿石的价格c如下表:

a

b/万吨

c/百万元

A

50%

1

3

B

70%

0.5

6

某冶炼厂至少要生产1.9(万吨)铁,若要求CO2的排放量不超过2(万吨),则购买铁矿石的最少费用为多少?(单位:百万元)

查看答案和解析>>

科目:高中数学 来源:2016届四川省成都市高三11月段测三文科数学试卷(解析版) 题型:填空题

函数f(x)=的定义域为

查看答案和解析>>

科目:高中数学 来源:2016届江西省高三上学期第三次考试理科数学试卷(解析版) 题型:选择题

等差数列{}前n项和为,满足,则下列结论中正确的是( )

A.中的最大值

B.中的最小值

C.=0

D.=0

查看答案和解析>>

科目:高中数学 来源:2015-2016学年陕西省西安市高二上学期期中考试理科数学试卷(解析版) 题型:填空题

在△ABC中,cosA=,sinB=,则cosC的值为

查看答案和解析>>

同步练习册答案