精英家教网 > 高中数学 > 题目详情

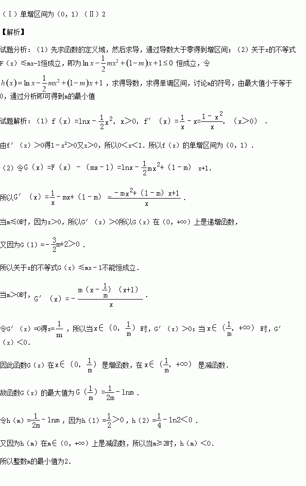
已知函数f(x)=lnx﹣mx2,g(x)=+x,m∈R

令F(x)=f(x)+g(x).

(Ⅰ)当m=时,求函数f(x)的单调递增区间;

(Ⅱ)若关于x的不等式F(x)≤mx﹣1恒成立,求整数m的最小值;

练习册系列答案
相关习题

科目:高中数学 来源:2015-2016学年江西省抚州市高二3月月考理科数学试卷(解析版) 题型:选择题

设等差数列的前项和为,且满足,对任意正整数,都有,则的值为( )

A.1006 B.1007 C.1008 D.1009

查看答案和解析>>

科目:高中数学 来源:2015-2016学年广东省高二下第一次月考理科数学试卷(解析版) 题型:选择题

执行如图所示的程序框图,输出的i为( )

A.4 B.5 C.6 D.7

查看答案和解析>>

科目:高中数学 来源:2015-2016学年福建省四地六校高二下学期第一次联考文科数学试卷(解析版) 题型:选择题

内单调递增,,则的( )

A.充分不必要条件 B.必要不充分条件

C.充分必要条件 D.既不充分也不必要条件

查看答案和解析>>

科目:高中数学 来源:2015-2016学年福建省四地六校高二下学期第一次联考文科数学试卷(解析版) 题型:选择题

如果( )

A. B. C.6 D.8

查看答案和解析>>

科目:高中数学 来源:2015-2016学年福建省四地六校高二下学期第一次联考理科数学试卷(解析版) 题型:解答题

已知函数

(1)求曲线在点处的切线方程;

(2)求函数的极值。

查看答案和解析>>

科目:高中数学 来源:2015-2016学年福建省四地六校高二下学期第一次联考理科数学试卷(解析版) 题型:选择题

是双曲线与圆在第一象限的交点,分别为双曲线左右焦点,且,则双曲线的离心率为( )

A. B. C. D.

查看答案和解析>>

科目:高中数学 来源:2015-2016学年福建省高二下期初考试文科数学试卷(解析版) 题型:填空题

”,“”,若的充分不必要条件,则的取值范围是

查看答案和解析>>

科目:高中数学 来源:2015-2016学年广东省高一下第一次月考数学试卷(解析版) 题型:解答题

平面内给定三个向量

(1)求满足的实数

(2)若//,求实数.

查看答案和解析>>

同步练习册答案