精英家教网 > 高中数学 > 题目详情

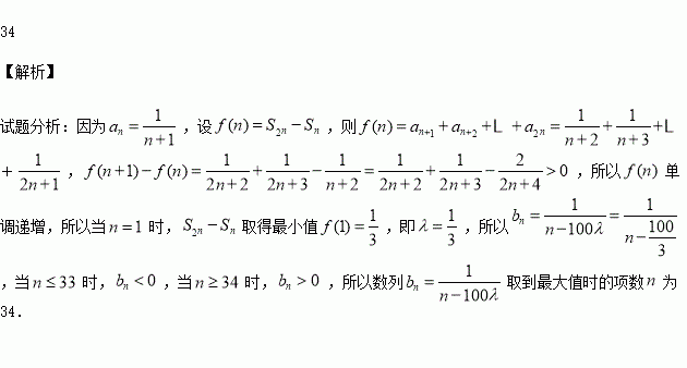
已知数列的前项和为,当数列的通项公式为时,我们记实数的最小值,那么数列取到最大值时的项数 .

练习册系列答案
相关习题

科目:高中数学 来源:2015-2016学年辽宁庄河市高一下期末数学理试卷(解析版) 题型:填空题

已知,且,则_________

查看答案和解析>>

科目:高中数学 来源:2016届河南新乡名校学术联盟高三高考押题四理数学试卷(解析版) 题型:解答题

选修4-4:坐标系与参数方程

已知曲线的极坐标方程是,以极点为平面直角坐标系的原点,极轴为轴的正半轴,建立平面直角坐标系,直线的参数方程是为参数).

(1)写出曲线的参数方程,直线的普通方程;

(2)求曲线上任意一点到直线的距离的最大值.

查看答案和解析>>

科目:高中数学 来源:2016届河南新乡名校学术联盟高三高考押题四理数学试卷(解析版) 题型:选择题

在《张邱建算经》中有一道题:“今有女子不善织布,逐日所织的布比同数递减,初日织五尺,末一日织一尺,计织三十日”.由此推断,该女子到第日时,大约已经完成三十日织布总量的( )

A.% B.% C.% D.%

查看答案和解析>>

科目:高中数学 来源:2015-2016学年浙江宁波市九校高一下学期期末数学试卷(解析版) 题型:解答题

已知圆心在轴正半轴上的圆与直线相切,与轴交于两点,且.

(1)求圆的标准方程;

(2)过点的直线与圆交于不同的两点,若设点的重心,当的面积为时,求直线的方程.

备注:的重心的坐标为.

查看答案和解析>>

科目:高中数学 来源:2015-2016学年浙江宁波市九校高一下学期期末数学试卷(解析版) 题型:填空题

已知直线,则原点关于直线对称的点是 ;经过点且纵横截距相等的直线方程是 .

查看答案和解析>>

科目:高中数学 来源:2015-2016学年浙江宁波市九校高一下学期期末数学试卷(解析版) 题型:选择题

在等差数列中,,则等于( )

A.1 B.2 C.3 D.4

查看答案和解析>>

科目:高中数学 来源:2015-2016学年浙江杭州高级中学高一上分班模拟数学试卷(解析版) 题型:选择题

在下列艺术字中既是轴对称图形又是中心对称图形的是( )

查看答案和解析>>

科目:高中数学 来源:2015-2016学年山西临汾一中高一下学期期末数学试卷(解析版) 题型:选择题

满足条件,则的最大值为( )

A.5 B.1 C. D.-1

查看答案和解析>>

同步练习册答案