精英家教网 > 高中数学 > 题目详情

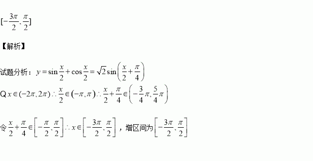
函数内的单调递增区间为

练习册系列答案
相关习题

科目:高中数学 来源:2015-2016学年广西桂林中学高二上期中考试文科数学试卷(解析版) 题型:选择题

已知实数满足不等式组,则的取值范围为( )

A. B. C. D.

查看答案和解析>>

科目:高中数学 来源:2015-2016学年河南省英文学校高一上学期期中考试数学试卷(解析版) 题型:解答题

(本小题满分10分)已知

(Ⅰ)若,求的取值范围;

(Ⅱ)若,求的取值范围.

查看答案和解析>>

科目:高中数学 来源:2015-2016学年甘肃省定西市高一上学期第一次月考数学试卷(解析版) 题型:填空题

如果上的最大值是,那么上的最小值是_____.

查看答案和解析>>

科目:高中数学 来源:2014-2015学年浙江省等三校高二上学期期中考试数学试卷(解析版) 题型:填空题

数列{an}的前n项和为Sn,且Sn=n2-n(n∈N*),则通项an=________.

查看答案和解析>>

科目:高中数学 来源:2016届浙江省高三10月月考文科数学试卷(解析版) 题型:选择题

是空间中的一个平面,是三条不同的直线,则下列命题中正确的是( )

A.若

B.若

C.若,则

D.若

查看答案和解析>>

科目:高中数学 来源:2015-2016学年四川省高一上学期第一学月考数学试卷(解析版) 题型:解答题

(本小题满分10分)如图,有一块半径为2的半圆形纸片,计划剪裁成等腰梯形ABCD的形状,它的下底AB是⊙O的直径,上底CD的端点在圆周上,设CD=2x,梯形ABCD的周长为y.

(1)求出y关于x的函数f(x)的解析式;

(2)求y的最大值,并指出相应的x值.

查看答案和解析>>

科目:高中数学 来源:2015-2016学年四川成都市六校高二上学期期中联考理科数学试卷(解析版) 题型:解答题

(本小题满分12分)已知关于x,y的方程C:

(1)当m为何值时,方程C表示圆.

(2)若圆C与直线l: x+2y-4=0相交于M,N两点,且MN=,求m的值.

查看答案和解析>>

科目:高中数学 来源:2016届湖南省常德市高三上第五次月考文科数学试卷(解析版) 题型:解答题

已知圆C的极坐标方程为,直线的参数方程为(t为参数,

(1)求直线的普通方程和圆C的直角坐标方程;

(2)求直线与圆C相交的弦长.

查看答案和解析>>

同步练习册答案