精英家教网 > 高中数学 > 题目详情

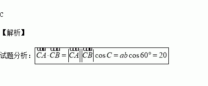
已知三角形△ABC中,角A,B,C的对边分别为,若,则 =( )

A. B. C. D.

练习册系列答案
相关习题

科目:高中数学 来源:2015-2016学年江西省高二3月月考理科数学试卷(解析版) 题型:选择题

已知的导函数是,记,则下列结论正确的是( )

A. B.

C. D.A,B,C的大小无法确定

查看答案和解析>>

科目:高中数学 来源:2015-2016学年江西省赣州市十三县高二下学期期中理科数学试卷(解析版) 题型:填空题

若函数在R上导,,则 __________

查看答案和解析>>

科目:高中数学 来源:2015-2016学年四川省雅安市高一下学期期中文科数学试卷(解析版) 题型:解答题

中,内角对边的边长分别是,已知.

(1)若的面积等于,求

(2)若,求的面积.

查看答案和解析>>

科目:高中数学 来源:2015-2016学年四川省雅安市高一下学期期中文科数学试卷(解析版) 题型:填空题

已知向量的夹角是,且||=1,||=4,若()⊥,则实数=_____

查看答案和解析>>

科目:高中数学 来源:2015-2016学年四川省雅安市高一下学期期中文科数学试卷(解析版) 题型:选择题

等差数列的前n项和为,若,则等于( )

A. 52 B. 54 C. 56 D. 58

查看答案和解析>>

科目:高中数学 来源:2015-2016学年四川省雅安市高一下学期期中理科数学试卷(解析版) 题型:解答题

中,角所对的边分别为,且

(Ⅰ)求的值;

(Ⅱ)若,求的面积.

查看答案和解析>>

科目:高中数学 来源:2015-2016学年四川省雅安市高一下学期期中理科数学试卷(解析版) 题型:选择题

已知,且,则等于( )

A. B. C. 3 D.

查看答案和解析>>

科目:高中数学 来源:2016届山西省榆林市高三二模理科数学试卷(解析版) 题型:选择题

已知,执行下列程序框图,则输出结果共有( )

A.3种 B.4种 C.5种 D.6种

查看答案和解析>>

同步练习册答案