精英家教网 > 高中数学 > 题目详情

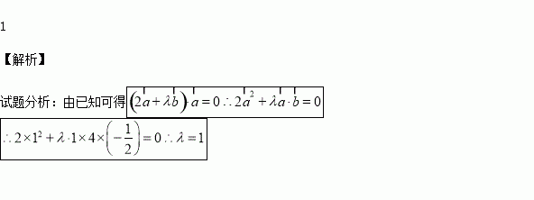
已知向量的夹角是,且||=1,||=4,若()⊥,则实数=_____

练习册系列答案
相关习题

科目:高中数学 来源:2015-2016学年江西省高二3月月考理科数学试卷(解析版) 题型:解答题

已知曲线,求曲线在点处的切线与坐标轴围成的三角形面积

查看答案和解析>>

科目:高中数学 来源:2015-2016学年江西省赣州市十三县高二下学期期中理科数学试卷(解析版) 题型:解答题

一种计算装置,有一数据入口A和一个运算出口B ,按照某种运算程序:①当从A口输入自然数1时,从B口得到 ,记为 ;②当从A口输入自然数时,在B口得到的结果是前一个结果倍.

(Ⅰ)当从A口分别输入自然数2 ,3 ,4 时,从B口分别得到什么数?

(Ⅱ)根据(Ⅰ)试猜想的关系式,并用数学归纳法证明你的结论;

查看答案和解析>>

科目:高中数学 来源:2015-2016学年江西省赣州市十三县高二下学期期中理科数学试卷(解析版) 题型:选择题

已知命题,则“”是“”的必要不充分条件;命题:若,则夹角为钝角,在命题①;②;③;④中,真命题是 ( )

A.①③ B.①④ C.②③ D.②④

查看答案和解析>>

科目:高中数学 来源:2015-2016学年四川省雅安市高一下学期期中文科数学试卷(解析版) 题型:解答题

中,角所对的边分别为,且

(Ⅰ)求的值;

(Ⅱ)若,求的面积.

查看答案和解析>>

科目:高中数学 来源:2015-2016学年四川省雅安市高一下学期期中文科数学试卷(解析版) 题型:选择题

已知三角形△ABC中,角A,B,C的对边分别为,若,则 =( )

A. B. C. D.

查看答案和解析>>

科目:高中数学 来源:2015-2016学年四川省雅安市高一下学期期中文科数学试卷(解析版) 题型:选择题

已知,且,则等于( )

A. B. C. 3 D.

查看答案和解析>>

科目:高中数学 来源:2015-2016学年四川省雅安市高一下学期期中理科数学试卷(解析版) 题型:选择题

若向量=(1,1),=(2,5),=(3,x),满足条件()·=30,则x等于( )

A.6 B.5 C.4 D.3

查看答案和解析>>

科目:高中数学 来源:2016届山西省榆林市高三二模理科数学试卷(解析版) 题型:选择题

过圆的圆心,作直线分别交轴、轴的正半轴于两点, 被圆分成四部分(如图),若这四部分图形的面积满足,则直线有( )

A.1条 B.2条 C.3条 D.0条

查看答案和解析>>

同步练习册答案