精英家教网 > 高中数学 > 题目详情

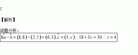
若向量=(1,1),=(2,5),=(3,x),满足条件()·=30,则x等于( )

A.6 B.5 C.4 D.3

练习册系列答案
相关习题

科目:高中数学 来源:2015-2016学年江西省赣州市十三县高二下学期期中文科数学试卷(解析版) 题型:选择题

已知抛物线C,点满足,则直线与抛物线公共点的个数是( )

A. B. C. D.

查看答案和解析>>

科目:高中数学 来源:2015-2016学年四川省雅安市高一下学期期中文科数学试卷(解析版) 题型:填空题

已知向量的夹角是,且||=1,||=4,若()⊥,则实数=_____

查看答案和解析>>

科目:高中数学 来源:2015-2016学年四川省雅安市高一下学期期中理科数学试卷(解析版) 题型:解答题

中,角所对的边分别为,且

(Ⅰ)求的值;

(Ⅱ)若,求的面积.

查看答案和解析>>

科目:高中数学 来源:2015-2016学年四川省雅安市高一下学期期中理科数学试卷(解析版) 题型:选择题

已知,则数列的前项和=( )

A. B. C. D.

查看答案和解析>>

科目:高中数学 来源:2015-2016学年四川省雅安市高一下学期期中理科数学试卷(解析版) 题型:选择题

已知,且,则等于( )

A. B. C. 3 D.

查看答案和解析>>

科目:高中数学 来源:2015-2016学年贵州遵义一中高一下第二次联考数学试卷(解析版) 题型:填空题

定义在上的函数满足对任意,都有,记数列,有以下命题:①;②;③令函数,则;④令数列,则数列为等比数列.

其中真命题的为 .

查看答案和解析>>

科目:高中数学 来源:2016届山西省榆林市高三二模理科数学试卷(解析版) 题型:解答题

选修4-4:坐标系与参数方程

已知极坐标的极点与直角坐标系的原点重合,极轴与正半轴重合,且长度单位相同,直线的极坐标方程为,点,(参数).

(1)求点轨迹的直角坐标方程;

(2)求点到直线距离的最大值.

查看答案和解析>>

科目:高中数学 来源:2016届吉林省高三五模文科数学试卷(解析版) 题型:选择题

设点满足约束条件,且点,则的取值范围是( )

A. B. C. D.

查看答案和解析>>

同步练习册答案