精英家教网 > 高中数学 > 题目详情

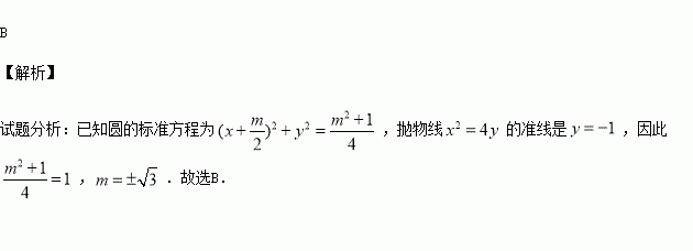
已知圆与抛物线的准线相切,则实数( )

A. B. C. D.

练习册系列答案
相关习题

科目:高中数学 来源:2016届安徽省高三下学期冲刺模拟理科数学A卷(解析版) 题型:选择题

下列函数中,既是偶函数又在区间上单调递减的是( )

A. B.

C. D.

查看答案和解析>>

科目:高中数学 来源:2016届安徽省高三下学期冲刺模拟理科数学C卷(解析版) 题型:选择题

位男生和 位女生共位同学站成一排,则男生甲不站两端,位女生中有且只有两位女生相邻的概率是( )

A. B. C. D.

查看答案和解析>>

科目:高中数学 来源:2016届重庆市高三下学期模拟文科数学试卷(解析版) 题型:解答题

已知分别为三个内角的对边,

(1)求

(2)若等差数列的公差不为零,且,且成等比数列,求的前项和

查看答案和解析>>

科目:高中数学 来源:2016届重庆市高三下学期模拟文科数学试卷(解析版) 题型:选择题

双曲线的两顶点为,虚轴两端点为,两焦点为,若以为直径的圆内切于菱形,则双曲线的离心率是( )

A. B. C. D.

查看答案和解析>>

科目:高中数学 来源:2015-2016学年宁夏六盘山高中高二下第二次月考文数学卷(解析版) 题型:解答题

已知函数

(1)当时,求不等式的解集;

(2)如果,求的取值范围.

查看答案和解析>>

科目:高中数学 来源:2015-2016学年宁夏六盘山高中高二下第二次月考文数学卷(解析版) 题型:填空题

已知正实数满足,则的最小值为 ________.

查看答案和解析>>

科目:高中数学 来源:2015-2016学年宁夏六盘山高中高二下第二次月考理数学卷(解析版) 题型:解答题

某企业有甲、乙两个研发小组,他们研发新产品成功的概率分别为.现安排甲组研发新产品,乙组研发新产品,设甲、乙两组的研发相互独立.

(1)求至少有一种新产品研发成功的概率;

(2)若新产品研发成功,预计企业可获利润120万元;若新产品研发成功,预计企业可获利润100万元,求该企业可获利润的分布列.

查看答案和解析>>

科目:高中数学 来源:2015-2016学年辽宁省庄河市高一下期中文科数学试卷(解析版) 题型:选择题

已知是第二象限角,,则( )

A. B. C. D.

查看答案和解析>>

同步练习册答案