精英家教网 > 高中数学 > 题目详情

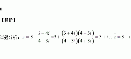
复数,则等于( )

A. B. C. D.

练习册系列答案
相关习题

科目:高中数学 来源:2015-2016学年四川成都七中高二10月段考文科数学试卷(解析版) 题型:选择题

右图是一个几何体的三视图,根据图中数据,可得该几何体的表面积是( )

A.9 B.10 C.11 D.12

查看答案和解析>>

科目:高中数学 来源:2014-2015学年浙江省嵊州市高二下期末检测文科数学A卷(解析版) 题型:填空题

已知函数,则

查看答案和解析>>

科目:高中数学 来源:2014-2015学年四川省宜宾市高一下学期期末测试数学试卷(解析版) 题型:选择题

已知等差数列中,若则公差=

(A) (B) (C) (D)

查看答案和解析>>

科目:高中数学 来源:2014-2015学年山西省高二下学期期中文科数学试卷(解析版) 题型:选择题

”是“复数为纯虚数”的( )

A.必要但不充分条件 B.充分但不必要条件

C.充要条件 D.既不充分也不必要条件

查看答案和解析>>

科目:高中数学 来源:2014-2015学年山西省高二上学期第一次月考数学试卷(解析版) 题型:选择题

如图,在长方体中,,则与平面所成角的正弦值为( )

A. B. C. D.

查看答案和解析>>

科目:高中数学 来源:2014-2015学年江西省上饶市等四校高一6月考理科数学试卷(解析版) 题型:选择题

,则等于( )

A、 B、1 C、2 D、4

查看答案和解析>>

科目:高中数学 来源:2014-2015学年贵州省高二上学期期中文科数学试卷(解析版) 题型:选择题

”是“方程表示焦点在轴上的双曲线”的( )。

A.充分而不必要条件 B.必要而不充分条件

C.充分必要条件 D.既不充分也不必要条件

查看答案和解析>>

科目:高中数学 来源:2015-2016学年江西新余一中高一上第一次段考数学试卷(解析版) 题型:解答题

(本题10分)设全集为R,集合A={x|3≤x<6},B={x|2<x<9}.

(1)分别求A∩B,(∁RB)∪A;[

(2)已知C={x|a<x<a+1},若C⊆B,求实数a的取值范围构成的集合

查看答案和解析>>

同步练习册答案