精英家教网 > 高中数学 > 题目详情

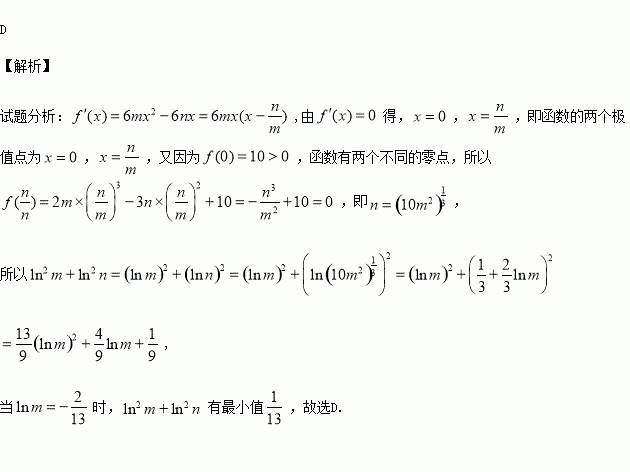
已知函数f(x)=2mx3?3nx2+10(m>0)有且仅有两个不同的零点,则lg2m+lg2n的最小值为( )

A、 B、 C、 D、

练习册系列答案
相关习题

科目:高中数学 来源:2016届吉林省长春市高三质量监测理科数学试卷(解析版) 题型:解答题

(本小题满分12分)

为了调查某高中学生每天的睡眠时间,现随机对20名男生和20名女生进行问卷调查,结果如下:

女生:

男生:

(1)从这20名男生中随机选出3人,求恰有一人睡眠时间不足7小时的概率;

(2)完成下面2×2列联表,并回答是否有90%的把握认为“睡眠时间与性别有关”?

,其中

查看答案和解析>>

科目:高中数学 来源:2014-2015学年江苏省南通市高二下学期期末文科数学试卷(解析版) 题型:解答题

现要设计一个如图所示的金属支架(图中实线所示),设计要求是:支架总高度AH为6米,底座BCDEF是以B为顶点,以CDEF为底面的正四棱锥,C,D,E,F在以半径为1米的圆上,支杆AB⊥底面CDEF.市场上,底座单价为每米10元,支杆AB单价为每米20元.设侧棱BC与底面所成的角为θ.

(1)写出的取值范围;

(2)当θ取何值时,支架总费用y(元)最少?

查看答案和解析>>

科目:高中数学 来源:2014-2015学年河南省三门峡市高一下学期模拟考试数学试卷(解析版) 题型:解答题

已知不等式

(1)当时解此不等式;

(2)若对于任意的实数,此不等式恒成立,求实数的取值范围.

查看答案和解析>>

科目:高中数学 来源:2014-2015学年广西河池市高二下学期期末理科数学试卷(解析版) 题型:选择题

根据如图样本数据得到的回归方程为=bx+a,若样本点的中心为.则当x每增加1个单位时,y就( )

A.增加1.4个单位 B.减少1.4个单位

C.增加7.9个单位 D.减少7.9个单位

查看答案和解析>>

科目:高中数学 来源:2016届重庆市高三10月月考理科数学试卷(解析版) 题型:填空题

写出命题“”的否定

查看答案和解析>>

科目:高中数学 来源:2016届山东省高三上学期开学考试文科数学试卷(解析版) 题型:选择题

已知函数在(-1,1)上是单调减函数,则实数的取值范围

A. B. C. D.

查看答案和解析>>

科目:高中数学 来源:2016届宁夏银川市高三上学期统练二理科数学试卷(解析版) 题型:选择题

已知,则( )

A. B. C. D.

查看答案和解析>>

科目:高中数学 来源:2016届黑龙江省高三第一段考文科数学试卷(解析版) 题型:选择题

设集合,则等于( )

A. B. C. D.

查看答案和解析>>

同步练习册答案