精英家教网 > 高中数学 > 题目详情

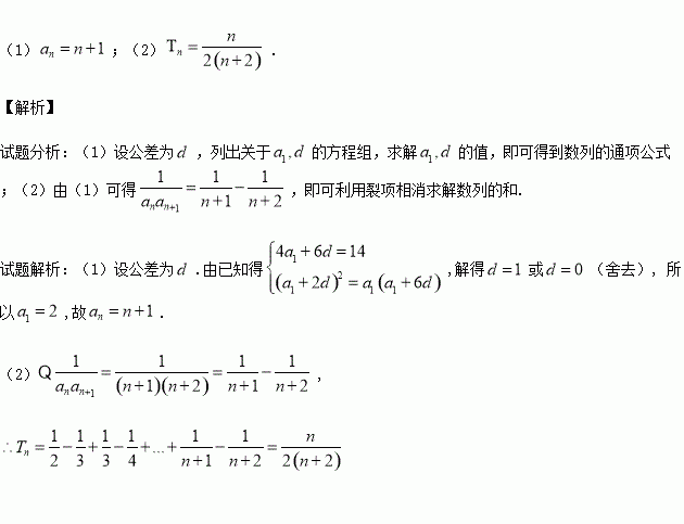
已知各项均不相等的等差数列的前项和为, 且成等比数列.

(1)求数列的通项公式;

(2)求数列的前项和.

练习册系列答案
相关习题

科目:高中数学 来源:2016-2017学年河北定州中学高二上周练7.8数学试卷(解析版) 题型:解答题

已知:函数f(x)对一切实数x,y都有f(x+y)﹣f(y)=x(x+2y+1)成立,且f(1)=0.

(1)求f(0)的值.

(2)求f(x)的解析式.

(3)已知a∈R,设P:当时,不等式f(x)+3<2x+a恒成立;Q:当x∈[﹣2,2]时, g(x)=f(x)﹣ax是单调函数.如果满足P成立的a的集合记为A,满足Q成立的a的集合记为B,求A∩∁RB(R为全集).

查看答案和解析>>

科目:高中数学 来源:2015-2016学年重庆八中高二暑期阶段测十数学(文)试卷(解析版) 题型:选择题

下列函数中,既是偶函数又在区间上单调递减的是( )

A. B.

C. D.

查看答案和解析>>

科目:高中数学 来源:2015-2016学年江西南昌二中高二下期中数学(理)试卷(解析版) 题型:选择题

如图,在平行六面体ABCD﹣A1B1C1D1中,底面是边长为1的正方形,若∠A1AB=∠A1AD=60°,且A1A=3,则A1C的长为( )

A. B. C. D.

查看答案和解析>>

科目:高中数学 来源:2015-2016学年安徽宣城市高二下学期期末数学(理)试卷(解析版) 题型:解答题

已知函数.

(1)设,求的零点的个数;

(2)设,且对于任意,试问是否一定为负数, 并说明理由.

查看答案和解析>>

科目:高中数学 来源:2015-2016学年安徽宣城市高二下学期期末数学(理)试卷(解析版) 题型:选择题

已知点是平面区域内的动点, 点为坐标原点, 设的最小值为,若恒成立, 则实数的取值范围是( )

A. B.

C. D.

查看答案和解析>>

科目:高中数学 来源:2015-2016学年安徽宣城市高二下学期期末数学(理)试卷(解析版) 题型:选择题

已知函数图象过点,则图象的一个对称中心是( )

A. B. C. D.

查看答案和解析>>

科目:高中数学 来源:2015-2016学年浙江湖州中学高一下学期期中数学试卷(解析版) 题型:选择题

满足不等式组,若的最大值为,最小值为,则实数的取值范围为

A. B. C. D.

查看答案和解析>>

科目:高中数学 来源:2015-2016学年陕西延川县中学高一下学期期中数学(理)试卷(解析版) 题型:选择题

点(2,3,4)关于平面的对称点为( )

A.(2,3,-4) B.(-2,3,4)

C.(2,-3,4) D.(-2,-3,4)

查看答案和解析>>

同步练习册答案