精英家教网 > 高中数学 > 题目详情

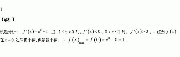
函数上的最小值是 .

练习册系列答案
相关习题

科目:高中数学 来源:2015-2016学年山东省三箭分校高一上期末数学试卷(解析版) 题型:解答题

设集合.

(Ⅰ)求

(Ⅱ)若,求实数的取值范围.

查看答案和解析>>

科目:高中数学 来源:2015-2016学年福建省高二下第一次月考文数学卷(解析版) 题型:填空题

在极坐标系中,已知某曲线C的极坐标方程为,直线的极坐标方程为

(Ⅰ)求该曲线C的直角坐标系方程及离心率

(Ⅱ)已知点P为曲线C上的动点,求点P到直线的距离的最大值.

查看答案和解析>>

科目:高中数学 来源:2015-2016学年福建省高二下第一次月考文数学卷(解析版) 题型:选择题

用反证法证明命题“三角形三个内角至少有一个不大于”时,应假设( )

A. 三个内角都不大于 B. 三个内角都大于

C. 三个内角至多有一个大于 D. 三个内角至多有两个大于

查看答案和解析>>

科目:高中数学 来源:2015-2016学年福建省高二下第一次月考理数学卷(解析版) 题型:解答题

已知时有极大值6,在时有极小值.

(1)求的值;

(2)求在区间[-3,3]上的最大值和最小值.

查看答案和解析>>

科目:高中数学 来源:2015-2016学年福建省高二下第一次月考理数学卷(解析版) 题型:选择题

函数 在区间上单调递增,则实数的取值范围是( )

A. B. C. D.

查看答案和解析>>

科目:高中数学 来源:2015-2016学年福建省高二下第一次月考理数学卷(解析版) 题型:选择题

“金导电,银导电,铜导电,铁导电,所以一切金属都导电”.此推理方法是( )

A.类比推理 B.归纳推理 C.演绎推理 D.以上都不对

查看答案和解析>>

科目:高中数学 来源:2016届河北省高三下第一次模拟理科数学试卷(解析版) 题型:选择题

已知直线与抛物线交于两点,点,若,则( )

A. B. C. D.0

查看答案和解析>>

科目:高中数学 来源:2015-2016学年湖南师大附中高二下第一次段测理数学试卷(解析版) 题型:选择题

函数,若都不是的最小值,则的取值范围是( )

A. B. C. D.

查看答案和解析>>

同步练习册答案