精英家教网 > 高中数学 > 题目详情
已知椭圆的焦点为F1、F2,在长轴A1A2上任取一点M,过M作垂直于A1A2的直线交椭圆于P,则使得的M点的概率为( )
A.
B.
C.
D.
【答案】分析:当∠F1PF2=90°时,P点坐标为,由,得∠F1PF2≥90°.故的M点的概率.
解答:解:∵|A1A2|=2a=4,
设P(x,y),
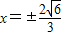
∴当∠F1PF2=90°时,
解得,把代入椭圆
,得∠F1PF2≥90°.
∴结合题设条件可知使得的M点的概率=
故选C.
点评:作出草图,数形结合,事半功倍.
练习册系列答案
相关习题

科目:高中数学 来源: 题型:

已知椭圆的焦点为F1(-1,0),F2(1,0),直线l:x-y+5=0,则
(1)经过直线l上一点P且长轴长最短的椭圆方程为
 
,(2)点P的坐标是
 

查看答案和解析>>

科目:高中数学 来源: 题型:

(1)已知椭圆的焦点为F1(0,-5),F2(0,5),点P(3,4)在椭圆上,求它的方程
(2)已知双曲线顶点间的距离为6,渐近线方程为y=±
32
x,求它的方程.

查看答案和解析>>

科目:高中数学 来源: 题型:

已知椭圆的焦点为F1(-1,0)、F2(1,0),直线x=4是它的一条准线.
(1)求椭圆的方程;
(2)设A1、A2分别是椭圆的左顶点和右顶点,P是椭圆上满足|PA1|-|PA2|=2的一点,求tan∠A1PA2的值;
(3)若过点(1,0)的直线与以原点为顶点、A2为焦点的抛物线相交于点M、N,求MN中点Q的轨迹方程.

查看答案和解析>>

科目:高中数学 来源: 题型:

已知椭圆的焦点为F1(-6,0),F2(6,0),且该椭圆过点P(5,2).
(1)求椭圆的标准方程
(2)若椭圆上的点M(x0,y0)满足MF1⊥MF2,求y0的值.

查看答案和解析>>

科目:高中数学 来源: 题型:

已知椭圆的焦点为F1(0,-2
2
)
F2(0,2
2
)
,离心率为e,已知
2
3
,e,
4
3
成等比数列;
(1)求椭圆的标准方程;
(2)已知P为椭圆上一点,求
PF1
PF2
最大值.

查看答案和解析>>

同步练习册答案