精英家教网 > 高中数学 > 题目详情

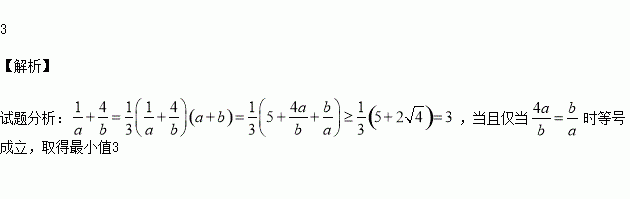
已知,且满足,则的最小值为

练习册系列答案
相关习题

科目:高中数学 来源:2015-2016学年湖南省高二上学期期中文科数学试卷(解析版) 题型:填空题

已知p:,q:,若的必要不充分条件,求实数m的取值范围。

查看答案和解析>>

科目:高中数学 来源:2015-2016学年湖南省高二上学期期中考试理科数学试卷(解析版) 题型:选择题

两灯塔A,B与海洋观察站C的距离都等于a(km),灯塔A在C北偏东30°,B在C南偏东60°,则A,B之间相距( )

A.a (km) B.a(km) C.a(km) D.2a (km)

查看答案和解析>>

科目:高中数学 来源:2015-2016学年福建省高二上学期期中考试理科数学试卷(解析版) 题型:填空题

已知数列共有项,定义的所有项和为,第二项及以后所有项和为,第三项及以后所有项和为…,第项及以后所有项和为,若是首项为1,公比为的等比数列的前项和,则当时,=

查看答案和解析>>

科目:高中数学 来源:2014-2015学年上海市高二下学期期末考试数学试卷(解析版) 题型:填空题

已知抛物线,过定点作两条互相垂直的直线与抛物线交于两点,与抛物线交于两点,设的斜率为.若某同学已正确求得弦的中垂线在y轴上的截距为,则弦MN的中垂线在y轴上的截距为

查看答案和解析>>

科目:高中数学 来源:2015-2016学年山东省临沂市高二上期中模拟理数学试卷(解析版) 题型:解答题

解关于x的不等式

查看答案和解析>>

科目:高中数学 来源:2015-2016学年辽宁省大连市高二上期中文科数学试卷(解析版) 题型:选择题

焦点为,且与双曲线有相同的渐近线的双曲线方程是

(A) (B)

(C) (D)

查看答案和解析>>

科目:高中数学 来源:2015-2016学年江西省赣州市十三县高二上期中联考文科数学试卷(解析版) 题型:选择题

等比数列的公比为,若成等差数列.且,则 ( )

A. B.1 C.2 D.3

查看答案和解析>>

科目:高中数学 来源:2016届重庆市高三上学期第三次月考文科数学试卷(解析版) 题型:解答题

(本小题满分12分) 已知函数

(1)当时,求函数的单调区间和极值;

(2)对任意给定的正实数,曲线上是否存在两点,使得△是以为直角顶点的直角三角形,且此三角形斜边中点在轴上?

查看答案和解析>>

同步练习册答案