精英家教网 > 高中数学 > 题目详情

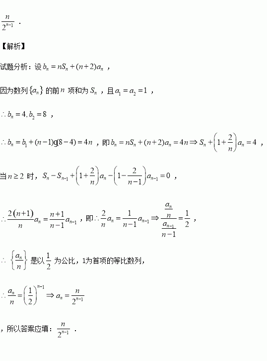
设数列的前项和为,且为等差数列,则的通项公式

练习册系列答案
相关习题

科目:高中数学 来源:2014-2015学年浙江省嵊州市高二下期末检测理科数学A卷(解析版) 题型:解答题

(本小题满分14分)

设数列满足

(Ⅰ)求

(Ⅱ)设,数列的前n项和为.求证:

查看答案和解析>>

科目:高中数学 来源:2014-2015学年湖北武汉一中等重点中学高一下学期期中理科数学试卷(解析版) 题型:解答题

已知数列是各项均为正数的等比数列,且

(1)数列的通项公式;

(2)设数列满足,求该数列的前n项和

查看答案和解析>>

科目:高中数学 来源:2014-2015学年甘肃省高一下学期期中考试数学试卷(解析版) 题型:选择题

已知的取值如下表所示:

2

3

4

6

4

5

如果呈线性相关,且线性回归方程为,则

查看答案和解析>>

科目:高中数学 来源:2016届西藏日喀则一中高三10月检测文科数学试卷(解析版) 题型:填空题

设随机变量,若,则

查看答案和解析>>

科目:高中数学 来源:2015-2016学年重庆市高一10月月考数学试卷(解析版) 题型:解答题

(本小题满分12分)解关于x的不等式

查看答案和解析>>

科目:高中数学 来源:2015-2016学年浙江省高一10月月考数学试卷(解析版) 题型:填空题

已知是奇函数且,若,则=

查看答案和解析>>

科目:高中数学 来源:2015-2016年湖南湘潭、岳阳一中高一上联考数学试卷(解析版) 题型:选择题

指数函数上的最大值与最小值的和为3,则 ( )

A. B.2 C.4 D.

查看答案和解析>>

科目:高中数学 来源:2016届四川省巴中市普通高中高三10月零诊考试理科数学试卷(解析版) 题型:选择题

设向量=(x-1,2), =(2,1),则//的充要条件是( )

A.x=- B.x=-1 C.x=5 D.x=0

查看答案和解析>>

同步练习册答案