精英家教网 > 高中数学 > 题目详情

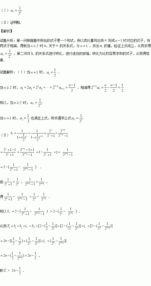
(本小题满分14分)

设数列满足

(Ⅰ)求

(Ⅱ)设,数列的前n项和为.求证:

练习册系列答案
相关习题

科目:高中数学 来源:2016届福建省高三第一次月考文科数学试卷(解析版) 题型:选择题

函数是R上的奇函数,当时,,则当时,( )

A. B.

C. D.

查看答案和解析>>

科目:高中数学 来源:2014-2015学年四川省高一下学期月考测文科数学试卷(解析版) 题型:选择题

函数的图象与轴交于点,过点的直线与函数的图象交于两点,则 ( )

A.32 B.16 C.8 D.4

查看答案和解析>>

科目:高中数学 来源:2014-2015学年浙江省嵊州市高二下期末检测文科数学B卷(解析版) 题型:选择题

已知为非零向量,且,则下列命题正确的个数为

(1)若,则 (2)若,则

(3)若,则 (4)若,则

A. B. C. D.

查看答案和解析>>

科目:高中数学 来源:2014-2015学年浙江省嵊州市高二下期末检测文科数学A卷(解析版) 题型:选择题

已知集合,则

A. B.

C. D.

查看答案和解析>>

科目:高中数学 来源:2014-2015学年浙江省嵊州市高二下期末检测理科数学A卷(解析版) 题型:选择题

已知集合,则

A. B.

C. D.

查看答案和解析>>

科目:高中数学 来源:2014-2015学年四川省眉山市高一下学期期末考试数学试卷(解析版) 题型:选择题

已知某正方体的外接球的表面积是,则这个正方体的棱长是

A. B. C. D.

查看答案和解析>>

科目:高中数学 来源:2014-2015学年山西省高二上学期第一次月考数学试卷(解析版) 题型:选择题

设全集,则( ).

A. B.

C. D.

查看答案和解析>>

科目:高中数学 来源:2016届西藏日喀则一中高三10月检测理科数学试卷(解析版) 题型:填空题

设数列的前项和为,且为等差数列,则的通项公式

查看答案和解析>>

同步练习册答案