精英家教网 > 高中数学 > 题目详情

已知函数f(x)=Asin (其中x∈R,A>0,ω>0)的最大值为2,最小正周期为8.

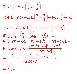
(1)求函数f(x)的解析式;

(2)若函数f(x)图象上的两点PQ的横坐标依次为2,4,O为坐标原点,求cos∠POQ的值.


解析:(1)因为函数f(x)的最大值是2,所以A=2;它的最小正周期是8,ω


练习册系列答案
相关习题

科目:高中数学 来源: 题型:


已知ABC是椭圆Wy2=1上的三个点,O是坐标原点.

(1)当点BW的右顶点,且四边形OABC为菱形时,求此菱形的面积;

(2)当点B不是W的顶点时,判断四边形OABC是否可能为菱形,并说明理由.

查看答案和解析>>

科目:高中数学 来源: 题型:


直线y(x-1)绕点(1,0)逆时针旋转30°所得的直线方程为__________.

查看答案和解析>>

科目:高中数学 来源: 题型:


ABC中,∠ABC=3,AB,则∠C=(  )

查看答案和解析>>

科目:高中数学 来源: 题型:


已知abc为△ABC的三边,B=120°,则a2c2acb2=________.

查看答案和解析>>

科目:高中数学 来源: 题型:


已知函数yAsin(ωxφ)+k的最大值为4,最小值为0,最小正周期为,直线x是其图象的一条对称轴,则下面各式中符合条件的解析式为(  )

查看答案和解析>>

科目:高中数学 来源: 题型:


设函数f(x)=sin2ωx-sin ωxcos ωx(ω>0),且yf(x)的图象的一个对称中心到最近的对称轴的距离为

(1)求ω的值;

(2)求f(x)在区间上的最大值和最小值.

查看答案和解析>>

科目:高中数学 来源: 题型:


αβ为锐角,a=sin(αβ),b=sin α+cos α,则ab之间关系为(  )

A.ab       B.ab       C.ab       D.不确定

查看答案和解析>>

科目:高中数学 来源: 题型:


已知|cos θ|=cos θ,|tan θ|=-tan θ,则的终边在(  )

A.第二或第四象限

B.第一或第三象限

C.第二或第四象限或x轴上

D.第一或第四象限或x轴上

查看答案和解析>>

同步练习册答案