精英家教网 > 高中数学 > 题目详情
如图所示是某水产养殖场的养殖大网箱的平面图,四周的实线为网衣,为避免混养,用筛网(图中虚线)把大网箱隔成大小一样的小网箱.
(1)若大网箱的面积为108平方米,每个小网箱的长x,宽y设计为多少米时,才能使围成的网箱中筛网总长度最小;
(2)若大网箱的面积为160平方米,网衣的造价为112元/米,筛网的造价为96元/米,且大网箱的长与宽都不超过15米,则小网箱的长、宽为多少米量,可使总造价最低?

【答案】分析:(1)将实际问题转化成数学问题,出现乘积是定值,且等号能取到,利用基本不等式求最值.
(2)将实际问题转化成数学问题,出现乘积是定值,但等号取不到,不能用基本不等式求最值,利用导数求函数单调性求最值.
解答:解:(1)设小网箱的长、宽分别为x米、y米,筛网总长度为S,
依题意4x•2y=108,即,S=4x+6y,
因为,所以S≥36,
当且仅当2x=3y时,等号成立,
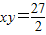
解方程组
即每个小网箱的长与宽分别为与4.5米与3米时,网箱中筛网的总长度最小.
(2)设总造价为W元,则由4x•2y=160,得xy=20,
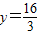
因为4x≤15,2y≤15,所以,∴=
求导,可得W(x)在上单调递减,所以当时,W最小,此时
即当小网箱的长与宽分别为米与米时,可使总造价最低.
点评:本题考查利用基本不等式请求函数的最值是一定注意使用的条件:一正;二定;三相等.
练习册系列答案
相关习题

科目:高中数学 来源: 题型:

如图所示是某水产养殖场的养殖大网箱的平面图,四周的实线为网衣,为避免混养,用筛网(图中虚线)把大网箱隔成大小一样的小网箱.
(1)若大网箱的面积为108平方米,每个小网箱的长x,宽y设计为多少米时,才能使围成的网箱中筛网总长度最小;
(2)若大网箱的面积为160平方米,网衣的造价为112元/米,筛网的造价为96元/米,且大网箱的长与宽都不超过15米,则小网箱的长、宽为多少米量,可使总造价最低?
精英家教网

查看答案和解析>>

科目:高中数学 来源:2015届辽宁省东北育才双语学校高一下学期期中考试数学试卷(解析版) 题型:解答题

如图所示是某水产养殖厂的养殖大网箱的平面图,四周的实线为网衣,为避免混养,

(1)若大网箱的面积为108平方米,每个小网箱的横边、纵边设计为多少米时,才能使围成的网箱中筛网的总长度最小?

(2)若大网箱的面积为160平方米,网衣的造价为112元/米,筛网的造价为96元/米,且大网箱的长与宽都不超过15米,则小网箱的横、纵边分别为多少米时,可使总造价最低?

 

查看答案和解析>>

科目:高中数学 来源:2012-2013学年福建安溪一中、养正中学高三上学期期中联考文数学试卷(解析版) 题型:解答题

(本小题满分12分)如图所示是某水产养殖场的养殖大网箱的平面图,四周的实线为网衣,为避免混养,用筛网(图中虚线)把大网箱隔成大小一样的小网箱.

(1)若大网箱的面积为108平方米,每个小网箱的长x,宽y设计为多少米时,才能使围成的网箱中筛网总长度最小;

(2)若大网箱的面积为160平方米,网衣的造价为112元/米,筛网的造价为96元/米,且大网箱的长与宽都不超过15米,则小网箱的长、宽为多少米时,可使总造价最低?

 

查看答案和解析>>

科目:高中数学 来源:2010-2011学年江西省高三第三次段考数学理卷 题型:解答题

(本小题满分12分)如图所示是某水产养殖场的养殖大网箱的平面图,四周的实线为网衣,为避免混养,用筛网(图中虚线)把大网箱隔成大小一样的小网箱。

(1)若大网箱的面积为108平方米,每个小网箱的长x,宽y设计为多少米时,才能使围成的网箱中筛网总长度最小;

(2)若大网箱的面积为160平方米,网衣的造价为112元/米,筛网的造价为96元/米,且大网箱的长与宽都不超过15米,则小网箱的长、宽为多少米量,可使总造价最低?

 

查看答案和解析>>

科目:高中数学 来源: 题型:

如图所示是某水产养殖厂的养殖大网箱的平面图,四周的实线为网衣,为避免混养,

(1)若大网箱的面积为108平方米,每个小网箱的横边、纵边设计为多少米时,才能使围成的网箱中筛网的总长度最小?

(2)若大网箱的面积为160平方米,网衣的造价为112元/米,筛网的造价为96元/米,且大网箱的长与宽都不超过15米,则小网箱的横、纵边分别为多少米时,可使总造价最低?

查看答案和解析>>

同步练习册答案