精英家教网 > 高中数学 > 题目详情

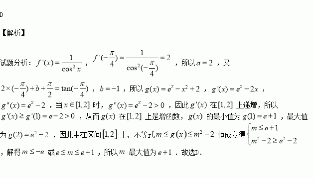
已知,直线与函数的图象在处相切,设,若在区间上,不等式恒成立,则实数( )

A.有最小值 B.有最小值

C.有最大值 D.有最大值

练习册系列答案
相关习题

科目:高中数学 来源:2016届宁夏高三五模考试数学(文)试卷(解析版) 题型:选择题

函数为奇函数,该函数的部分图象如图所示, 分别为最高点与最低点,且,则该函数图象的一条对称轴为( )

A. B. C. D.

查看答案和解析>>

科目:高中数学 来源:2016届湖南长沙市高三月考八数学(文)试卷(解析版) 题型:解答题

,且的最小正周期是,设三个角的对边分别为.

(1)求的值;

(2)若,求的值.

查看答案和解析>>

科目:高中数学 来源:2016届湖南长沙市高三月考八数学(理)试卷(解析版) 题型:解答题

设函数.

(1)求不等式的解集;

(2)若恒成立,求实数的取值范围.

查看答案和解析>>

科目:高中数学 来源:2016届湖南长沙市高三月考八数学(理)试卷(解析版) 题型:解答题

为数列的前项和, 对任意,都有.

(1)求数列的通项公式;

(2)若数列的前项和为,求使得成立的的最小值.

查看答案和解析>>

科目:高中数学 来源:2016届湖南长沙市高三月考八数学(理)试卷(解析版) 题型:选择题

如图,正方形中,为DC的中点,若,则的值为( )

A. B. C. D.

查看答案和解析>>

科目:高中数学 来源:2017届湖北黄石市高三9月调研数学(文)试卷(解析版) 题型:解答题

选修4-5:不等式选讲

已知函数

(1)解不等式

(2)若不等式的解集不是空集,求实数的取值范围.

查看答案和解析>>

科目:高中数学 来源:2017届湖北黄石市高三9月调研数学(文)试卷(解析版) 题型:选择题

设等差数列的前项和为,且,则( )

A.52 B.78 C.104 D.208

查看答案和解析>>

科目:高中数学 来源:2017届山东枣庄三中高三9月质检数学(理)试卷(解析版) 题型:选择题

函数满足,那么函数的图象大致为( )

查看答案和解析>>

同步练习册答案