精英家教网 > 高中数学 > 题目详情
下图分别为三棱锥S-ABC的直观图与三视图,在直观图中SA=SC,M,N分别为AB,SB的中点.
(Ⅰ)求证:AC⊥SB;
(Ⅱ)求二面角M-NC-B的余弦值。
解:由题意知,SA=SC=2,侧面SAC⊥底面ABC,
底面△ABC为正三角形,
(Ⅰ)取AC的中点O,连接OS,OB,
因为SA=SC,AB=BC,
所以AC⊥SO,AC⊥OB,
所以AC⊥平面OSB,
所以AC⊥SB.
(Ⅱ)如图所示建立空间直角坐标系O-xyz,




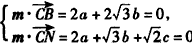
n=(x,y,z)为平面CMN的一个法向量,
,取z=1,则
所以,
又由(Ⅰ)得,
m=(a,b,c)为平面NBC的法向量,

令c=1,则
所以,
所以,二面角M-NC-B的余弦值为
练习册系列答案
相关习题

科目:高中数学 来源:导学大课堂必修二数学苏教版 苏教版 题型:044

如下图,在三棱锥S-ABC中,已知SA⊥底面ABC,AB⊥BC,DE垂直平分SC,且分别交AC、SC于D、E,又SA=AB,SB=BC,求以BD为棱,以△BDE与△BDC为面的二面角的大小.

查看答案和解析>>

科目:高中数学 来源: 题型:022

(2007北京朝阳模拟)如下图,在△ABC中,EF分别为ABAC上的点,若,则.拓展到空间:在三棱锥SABC中,DEF分别是侧棱SASBSC上的点,若,则________

查看答案和解析>>

科目:高中数学 来源: 题型:

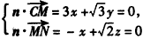
下图分别为三棱锥S—ABC的直观图与三视图,在直观图中,,M、N分别为AB、SB的中点。

(1)求证:

(2)求二面角M—NC—B的余弦值。

查看答案和解析>>

同步练习册答案