精英家教网 > 高中数学 > 题目详情
已知等差数列{an}中,a1=1,a3=5.
(1)求a2
(2)求数列{an}的通项公式;
(3)求该数列的前n项和Sn
【答案】分析:(1)由于a1=1,a3=5,则a2=(1+5)=3;
(2)设等差数列{an}的公差为d,根据 a1=1,a3=5.解得d=2,从而得到 an=1+(n-1)×2,化简可得结果;
(3)由首项a1=1,第n项 an=2n-1 可得,运算求得结果.
解答:解:(1)由于等差数列{an}中,a1=1,a3=5.
则a2=(a1+a3)=(1+5)=3;
(2)设等差数列{an}的公差为d,
由a1=1,a3=5.解得d=2.
所以an=1+(n-1)×2=2n-1.
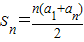
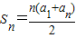
(3)由a1=1,an=2n-1得前n项和
=
点评:本题考查等差数列的定义,通项公式,前n项和公式的应用,求出首项a1和公差d的值,是解题的关键.
练习册系列答案
相关习题

科目:高中数学 来源: 题型:

已知等差数列{an},公差d不为零,a1=1,且a2,a5,a14成等比数列;
(1)求数列{an}的通项公式;
(2)设数列{bn}满足bn=an3n-1,求数列{bn}的前n项和Sn

查看答案和解析>>

科目:高中数学 来源: 题型:

已知等差数列{an}中:a3+a5+a7=9,则a5=
 

查看答案和解析>>

科目:高中数学 来源: 题型:

已知等差数列{an}满足:a5=11,a2+a6=18.
(1)求{an}的通项公式;
(2)若bn=an+q an(q>0),求数列{bn}的前n项和Sn

查看答案和解析>>

科目:高中数学 来源: 题型:

已知等差数列{an}满足a2=0,a6+a8=-10
(1)求数列{an}的通项公式;     
(2)求数列{|an|}的前n项和;
(3)求数列{
an2n-1
}的前n项和.

查看答案和解析>>

科目:高中数学 来源: 题型:

精英家教网已知等差数列{an}中,a4a6=-4,a2+a8=0,n∈N*
(Ⅰ)求数列{an}的通项公式;
(Ⅱ)若{an}为递增数列,请根据如图的程序框图,求输出框中S的值(要求写出解答过程).

查看答案和解析>>

同步练习册答案