精英家教网 > 高中数学 > 题目详情

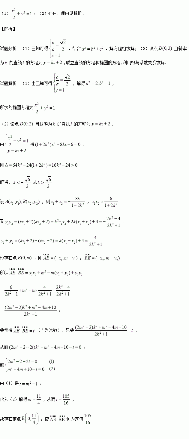
已知椭圆 的离心率为,左焦点为,过点且斜率为的直线交椭圆于两点.

(1)求椭圆的标准方程;

(2)在轴上,是否存在定点,使恒为定值?若存在,求出点的坐标和这个定值;若不存在,说明理由.

练习册系列答案
相关习题

科目:高中数学 来源:2016届云南省高考复习质量监测六文科数学试卷(解析版) 题型:解答题

已知函数

(I)求函数的单调区间;

(II)若不等式在区间上恒成立,求实数的取值范围;

(III)求证:).

查看答案和解析>>

科目:高中数学 来源:2016届海南省高考模拟十理科数学试卷(解析版) 题型:选择题

为实数,则“”是“”的( )

A.充分不必要条件 B.必要不充分条件

C.充要条件 D.既不充分也不必要条件

查看答案和解析>>

科目:高中数学 来源:2016届海南省高考模拟十文科数学试卷(解析版) 题型:选择题

已知函数,函数,若函数恰有4个零点,则实数的取值范围是( )

A. B. C. D.

查看答案和解析>>

科目:高中数学 来源:2016届海南省高考模拟十文科数学试卷(解析版) 题型:选择题

为实数,则“”是“”的( )

A.充分不必要条件 B.必要不充分条件

C.充要条件 D.既不充分也不必要条件

查看答案和解析>>

科目:高中数学 来源:2015-2016学年西藏日喀则一中高二4月月考理科数学试卷(解析版) 题型:填空题

已知,若在区间上任取三个数,均存在以为边长的三角形,则实数的取值范围为______________.

查看答案和解析>>

科目:高中数学 来源:2015-2016学年西藏日喀则一中高二4月月考理科数学试卷(解析版) 题型:选择题

如图,长方形的四个顶点为,曲线经过点,现将一质点随机投入长方形中,则质点落在图中阴影区域的概率是( )

A. B. C. D.

查看答案和解析>>

科目:高中数学 来源:2015-2016学年辽宁省高二下期中文科数学试卷(解析版) 题型:填空题

已知整数对如下:则第60个整数对是 .

查看答案和解析>>

科目:高中数学 来源:2015-2016学年北大附中河南分校高二下期中文科数学试卷(解析版) 题型:解答题

如图,在等腰梯形中,,过点的平行线,交的延长线于点,求证:

(1)

(2)

查看答案和解析>>

同步练习册答案