精英家教网 > 高中数学 > 题目详情

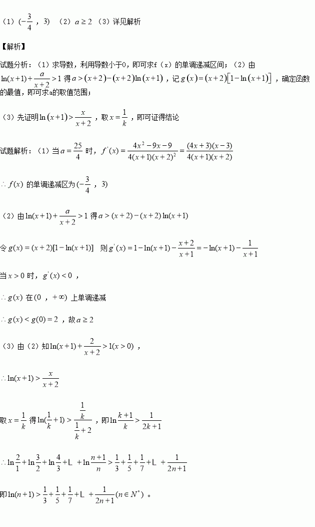
已知函数

(1)当时,求的单调递减区间;

(2)若当时,恒成立,求的取值范围;

(3)求证:

练习册系列答案
相关习题

科目:高中数学 来源:2015-2016学年山东省高二下学期第一次月考文科数学试卷(解析版) 题型:选择题

=( )

A.1 B.I C.﹣1 D.﹣i

查看答案和解析>>

科目:高中数学 来源:2015-2016学年广东省东莞市南开实验高二下期初考试理科数学试卷(解析版) 题型:选择题

用反证法证明命题“三角形的内角至多有一个钝角”时,假设的内容应为( )

A.假设至少有一个钝角 B.假设至少有两个钝角

C.假设没有一个钝角 D.假设没有一个钝角或至少有两个钝角

查看答案和解析>>

科目:高中数学 来源:2015-2016学年江西省宜春市高二下第一次月考文科数学试卷(解析版) 题型:选择题

如图,在等腰梯形ABCD中,AB∥CD,且AB=2AD,设,以A,B为焦点且过点D的双曲线的离心率为,以C,D为焦点且过点A的椭圆的离心率为,则 ( )

A.随着角度的增大,增大,为定值

B.随着角度的增大,减小,为定值

C.随着角度的增大,增大,也增大

D.随着角度的增大,减小,也减小

查看答案和解析>>

科目:高中数学 来源:2015-2016学年江西省宜春市高二下第一次月考文科数学试卷(解析版) 题型:选择题

椭圆2x2+3y2=6的焦距是( )

A.2 B.2() C.2 D.2(+

查看答案和解析>>

科目:高中数学 来源:2015-2016学年江西省宜春市高二下第一次月考理科数学试卷(解析版) 题型:解答题

设复数,试求实数的值,使:

(1)z是实数;

(2)z是纯虚数.

查看答案和解析>>

科目:高中数学 来源:2015-2016学年江西省宜春市高二下第一次月考理科数学试卷(解析版) 题型:选择题

在正方体上有一只蚂蚁,从A点出发沿正方体的棱前进,要它走进的第条棱与第条棱是异面的,则这只蚂蚁走过第2016条棱之后的位置是在( )

A.点处 B.在点A处 C.在点D处 D.在点B处

查看答案和解析>>

科目:高中数学 来源:2015-2016学年江西省高二下学期第一次月考文科数学试卷(解析版) 题型:填空题

设抛物线y2=16x上一点P到x轴的距离为12,则点P与焦点F的距离|PF|= .

查看答案和解析>>

科目:高中数学 来源:2015-2016学年湖北省孝感六校联盟高一下学期期中考试文科数学卷(解析版) 题型:解答题

已知不等式的解集是

(1)若,求的取值范围;

(2)若,求不等式的解集.

查看答案和解析>>

同步练习册答案