精英家教网 > 高中数学 > 题目详情

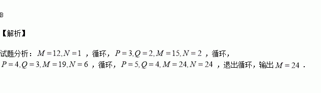
执行如图所示的程序框图,如果输入的,则输出的等于( )

A.19 B.24 C.30 D.37

练习册系列答案
相关习题

科目:高中数学 来源:2015-2016学年内蒙古高一下期末理数学试卷(解析版) 题型:选择题

如果不等式对一切实数均成立,则实数的取值范围是( )

A. B. C. D.

查看答案和解析>>

科目:高中数学 来源:2015-2016学年广西河池市高一下月考一数学试卷(解析版) 题型:填空题

若以连续掷两次骰子分别得到的点数作为点的横、纵坐标,则点在直线上的概率为

查看答案和解析>>

科目:高中数学 来源:2017届河南省天一大联考高三上学期段测一数学(文)试卷(解析版) 题型:解答题

设函数.

(Ⅰ)当时,求曲线在点处的切线方程;

(Ⅱ)当时,若对任意,不等式恒成立.求实数的取值范围.

查看答案和解析>>

科目:高中数学 来源:2017届河南省天一大联考高三上学期段测一数学(文)试卷(解析版) 题型:填空题

满足约束条件,则的最大值为__________.

查看答案和解析>>

科目:高中数学 来源:2017届河南省天一大联考高三上学期段测一数学(文)试卷(解析版) 题型:选择题

设抛物线的焦点为,准线轴的交点为,过抛物线上一点作准线的垂线,垂足为.若的面积为2,则点的坐标为( )

A.(1,2)或(1,-2) B.(1,4)或(1,-4)

C.(1,2) D.(1,4)

查看答案和解析>>

科目:高中数学 来源:2017届河南省天一大联考高三上学期段测一数学(理)试卷(解析版) 题型:解答题

设函数.

(Ⅰ)当时,设,求证:对任意的

(Ⅱ)当时,若对任意,不等式恒成立.求实数的取值范围.

查看答案和解析>>

科目:高中数学 来源:2017届河南省天一大联考高三上学期段测一数学(理)试卷(解析版) 题型:选择题

已知,且,则向量的夹角为( )

A. B. C. D.

查看答案和解析>>

科目:高中数学 来源:2017届河北定州中学高三上学期周练一数学试卷(解析版) 题型:解答题

如图,是边长为3的正方形,,且.

(1)试在线段上确定一点的位置,使得

(2)求二面角的余弦值.

查看答案和解析>>

同步练习册答案