精英家教网 > 高中数学 > 题目详情
定义在[-1,1]上的奇函数f(x)满足f(1)=2,且当a,b∈[-1,1],a+b≠0时,有
(1)试问函数f(x)的图象上是否存在两个不同的点A,B,使直线AB恰好与y轴垂直,若存在,求出A,B两点的坐标;若不存在,请说明理由并加以证明.
(2)若对所有x∈[-1,1],a∈[-1,1]恒成立,求实数m的取值范围.
【答案】分析:(1)假设函数f(x)的图象上存在两个不同的点A,B,使直线AB恰好与y轴垂直,推出函数f(x)在[-1,1]上是增函数,这与假设矛盾,可得假设不成立,命题得证.
(2)由题意可得函数f(x)的最大值小于或等于2(m2+2am+1),即m2+2am≥0.令关于a的一次函数g(a)=m2+2am,则有 ,由此求得m的范围.
解答:解:(1)假设函数f(x)的图象上存在两个不同的点A,B,使直线AB恰好与y轴垂直,
则A、B两点的纵坐标相同,设它们的横坐标分别为 x1 和x2,且x1<x2
则f(x1)-f(x2)=f(x1 )+f(-x2)=[x1+(-x2)].
由于 >0,且[x1+(-x2)]<0,∴f(x1)-f(x2)<0,
故函数f(x)在[-1,1]上是增函数.
这与假设矛盾,故假设不成立,即 函数f(x)的图象上不存在两个不同的点A,B,使直线AB恰好与y轴垂直.
(2)由于 对所有x∈[-1,1],a∈[-1,1]恒成立,
∴故函数f(x)的最大值小于或等于2(m2+2am+1).
由于由(1)可得,函数f(x)是[-1,1]的增函数,故函数f(x)的最大值为f(1)=2,
∴2(m2+2am+1)≥2,即 m2+2am≥0.
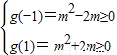
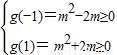
令关于a的一次函数g(a)=m2+2am,则有
解得 m≤-2,或m≥2,或 m=0,故所求的m的范围是{m|m≤-2,或m≥2,或 m=0}.
点评:本题主要考查用反证法证明数学命题,函数的恒成立问题,体现了转化的数学而思想,属于中档题.
练习册系列答案
相关习题

科目:高中数学 来源: 题型:

设f(x)是定义在[-1,1]上的奇函数,且其图象上任意两点连线的斜率均小于零.
(1)证明f(x)在[-1,1]上是减函数;
(2)如果f(x-c),f(x-c2)的定义域的交集为空集,求实数c的取值范围;
(3)证明:若-1≤c≤2,则f(x-c),f(x-c2)存在公共的定义域,并求出这个公共的定义域.

查看答案和解析>>

科目:高中数学 来源: 题型:

定义在[-1,1]上的奇函数f(x),当-1≤x<0时,f(x)=-
2x
4x+1

(Ⅰ)求f(x)在[-1,1]上解析式;
(Ⅱ)判断f(x)在(0,1)上的单调性,并给予证明;
(Ⅲ)当x∈(0,1]时,关于x的方程
2x
f(x)
-2x+λ=0
有解,试求实数λ的取值范围.

查看答案和解析>>

科目:高中数学 来源: 题型:解答题

设f(x)是定义在[-1,1]上的奇函数,且其图象上任意两点连线的斜率均小于零.
(1)证明f(x)在[-1,1]上是减函数;
(2)如果f(x-c),f(x-c2)的定义域的交集为空集,求实数c的取值范围;
(3)证明:若-1≤c≤2,则f(x-c),f(x-c2)存在公共的定义域,并求出这个公共的定义域.

查看答案和解析>>

科目:高中数学 来源:不详 题型:解答题

设f(x)是定义在[-1,1]上的奇函数,且其图象上任意两点连线的斜率均小于零.
(1)证明f(x)在[-1,1]上是减函数;
(2)如果f(x-c),f(x-c2)的定义域的交集为空集,求实数c的取值范围;
(3)证明:若-1≤c≤2,则f(x-c),f(x-c2)存在公共的定义域,并求出这个公共的定义域.

查看答案和解析>>

科目:高中数学 来源:江苏省泰州市中学高三数学一轮复习过关测试卷:函数(1)(解析版) 题型:解答题

设f(x)是定义在[-1,1]上的奇函数,且其图象上任意两点连线的斜率均小于零.
(1)证明f(x)在[-1,1]上是减函数;
(2)如果f(x-c),f(x-c2)的定义域的交集为空集,求实数c的取值范围;
(3)证明:若-1≤c≤2,则f(x-c),f(x-c2)存在公共的定义域,并求出这个公共的定义域.

查看答案和解析>>

同步练习册答案