精英家教网 > 高中数学 > 题目详情

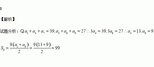
等差数列中,则数列前9项的和等于( )

A.66 B.99 C.144 D.297

练习册系列答案
相关习题

科目:高中数学 来源:2015-2016学年吉林省扶余市高二上学期期中考试理科数学试卷(解析版) 题型:解答题

设数列满足

(1)求数列的通项公式;

(2)令,求数列的前n项和

查看答案和解析>>

科目:高中数学 来源:2015-2016学年山东省临沂市高二上期中模拟理数学试卷(解析版) 题型:填空题

在数列中,若前n项和满足,则该数列的通项公式

查看答案和解析>>

科目:高中数学 来源:2015-2016学年江西省等三校高二上第一次联考数学试卷(解析版) 题型:选择题

在正方体ABCD-A′B′C′D′中,过对角线BD′的一个平面交AA′于E、交CC′于F,则以下结论中错误的是( )

A.四边形BFD′E一定是平行四边形

B.四边形BFD′E有可能是正方形

C.四边形BFD′E有可能是菱形

D.四边形BFD′E在底面投影一定是正方形

查看答案和解析>>

科目:高中数学 来源:2015-2016学年江西省赣州市十三县高二上期中联考文科数学试卷(解析版) 题型:选择题

,则下列不等式成立的是( )

A. B.

C. D.

查看答案和解析>>

科目:高中数学 来源:2015-2016学年湖南省高一上学期期中考试数学试卷(解析版) 题型:选择题

函数f(x)=2x+3x的零点所在的一个区间是 ( )

A.(-2,-1) B.(-1,0)

C.(0,1) D.(1,2)

查看答案和解析>>

科目:高中数学 来源:2015-2016学年湖北省宜昌市高二上期中理科数学试卷(解析版) 题型:解答题

(12分) 在平面直角坐标系中,点,直线。设圆的半径为,圆心在上。(1)若圆心也在直线上,过点作圆的切线,求切线的方程;

(2)若圆上存在点,使,求圆心的横坐标的取值范围。

查看答案和解析>>

科目:高中数学 来源:2015-2016学年广东省普宁市高二上期中理科数学试卷(解析版) 题型:解答题

(本小题满分14分)

如图所示,平面平面,且四边形为矩形,四边形为直角梯形,

(1)求证平面

(2)求平面与平面所成锐二面角的余弦值;

(3)求直线与平面所成角的余弦值.

查看答案和解析>>

科目:高中数学 来源:2016届辽宁省抚顺市高三上学期第一次模拟文科数学试卷(解析版) 题型:填空题

已知函数使得则实数得取值范围是_____________.

查看答案和解析>>

同步练习册答案