精英家教网 > 高中数学 > 题目详情

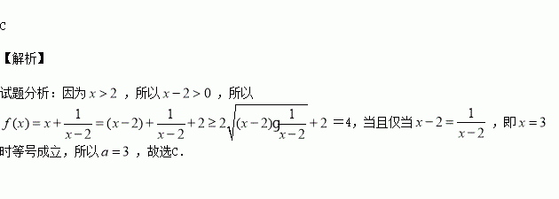
若函数)在处取最小值,则( )

A. B. C. D.

练习册系列答案
相关习题

科目:高中数学 来源:2015-2016学年重庆市高二上第一次月考理科数学试卷(解析版) 题型:选择题

已知点在曲线上,点,则的最大值为( )

A. B. C. D.

查看答案和解析>>

科目:高中数学 来源:2015-2016学年湖北省宜昌市高二上期中文科数学试卷(解析版) 题型:选择题

直线与曲线有两个不同的交点,则实数的取值范围是( )

A. B.

C. D.

查看答案和解析>>

科目:高中数学 来源:2015-2016学年广东省普宁市高二上期中文科数学试卷(解析版) 题型:选择题

是定义在同一区间上的两个函数,若函数上有两个不同的零点,则称在区间上是“关联函数” ,区间成为“关联区间”。若上是“关联函数”,则的取值范围为( )

A、 B、

C、 D、

查看答案和解析>>

科目:高中数学 来源:2015-2016学年广东省普宁市高二上期中理科数学试卷(解析版) 题型:选择题

下面几种推理中是演绎推理的为

A.由金、银、铜、铁可导电,猜想:金属都可导电;

B.猜想数列的通项公式为

C.半径为圆的面积,则单位圆的面积

D.由平面直角坐标系中圆的方程为,推测空间直角坐标系中球的方程为

查看答案和解析>>

科目:高中数学 来源:2016届重庆市高三上学期第三次月考理科数学试卷(解析版) 题型:选择题

已知上的可导函数,满足)恒成立,,若曲线在点处的切线为,且,则等于( )

A. B. C. D.

查看答案和解析>>

科目:高中数学 来源:2016届云南省玉溪市高三上学期期中文科数学试卷(解析版) 题型:选择题

已知为等差数列,若,则的值为( )

A. B. C. D.

查看答案和解析>>

科目:高中数学 来源:2016届辽宁省葫芦岛市高三上学期期中理科数学试卷(解析版) 题型:选择题

为虚数单位,则复数的共轭复数在复平面内所对应的点位于( )

A.第一象限 B.第二象限 C.第三象限 D.第四象限

查看答案和解析>>

科目:高中数学 来源:2015-2016学年吉林省高一上学期期中数学试卷(解析版) 题型:填空题

函数的单调递减区间为

查看答案和解析>>

同步练习册答案