精英家教网 > 高中数学 > 题目详情
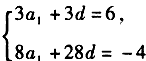
已知等差数列{an}的前3项和为6,前8项和为-4。
 (I)求数列{an}的通项公式;
 (Ⅱ)设bn=(4-an)qn-1(q≠0,n∈N*),求数列{bn}的前n项和Sn
解:(Ⅰ)设{an}的公差为d。由已知得
解得a1=3,d=-1
则an=3-(n-1)=4-n;
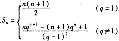
(Ⅱ)由(I)的解答可得,bn=n·qn-1,于是Sn=1·q0+2·q1+3·q2+…+nqn-1
若q≠1,将上式两边同乘以q有qSn=1·q1+2·q2+…+ (n-1)·qn-1+n·qn
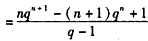
两式相减得到 (q-1)Sn=nqn-1-q1-q2-…-qn-1
                                                
                                                
于是
,则
所以
练习册系列答案
相关习题

科目:高中数学 来源: 题型:

已知等差数列{an},公差d不为零,a1=1,且a2,a5,a14成等比数列;
(1)求数列{an}的通项公式;
(2)设数列{bn}满足bn=an3n-1,求数列{bn}的前n项和Sn

查看答案和解析>>

科目:高中数学 来源: 题型:

已知等差数列{an}中:a3+a5+a7=9,则a5=
 

查看答案和解析>>

科目:高中数学 来源: 题型:

已知等差数列{an}满足:a5=11,a2+a6=18.
(1)求{an}的通项公式;
(2)若bn=an+q an(q>0),求数列{bn}的前n项和Sn

查看答案和解析>>

科目:高中数学 来源: 题型:

已知等差数列{an}满足a2=0,a6+a8=-10
(1)求数列{an}的通项公式;     
(2)求数列{|an|}的前n项和;
(3)求数列{
an2n-1
}的前n项和.

查看答案和解析>>

科目:高中数学 来源: 题型:

精英家教网已知等差数列{an}中,a4a6=-4,a2+a8=0,n∈N*
(Ⅰ)求数列{an}的通项公式;
(Ⅱ)若{an}为递增数列,请根据如图的程序框图,求输出框中S的值(要求写出解答过程).

查看答案和解析>>

同步练习册答案