精英家教网 > 高中数学 > 题目详情

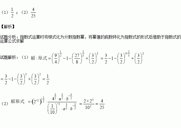
计算:(12分)

(1)

(2)

练习册系列答案
相关习题

科目:高中数学 来源:2015-2016学年江西省南昌市高一上学期第一次月考数学试卷(解析版) 题型:选择题

若函数的定义域是,则函数的定义域是( )

A. B. C. D.

查看答案和解析>>

科目:高中数学 来源:2015-2016学年广东省普宁市高一上学期第一次月考数学试卷(解析版) 题型:选择题

若向量a=(1,1),b=(2,5),c=(3,x)满足条件(8a-b)·c=30,则x等于 ( )

A.6 B.5 C.4 D. 3

查看答案和解析>>

科目:高中数学 来源:2015-2016学年广东省高二上学期第一次月考理科数学卷(解析版) 题型:选择题

数据的平均数为,方差为,则数据 的平均数和方差分别是( )

A. B.

C. D.

查看答案和解析>>

科目:高中数学 来源:2015-2016学年广东省高二上学期第一次月考理科数学卷(解析版) 题型:选择题

以两点A(-3,-1)和B(5,5)为直径端点的圆的方程是( )

A.(x-1)2+(y+2)2=100

B.(x-1)2+(y-2)2=100

C.(x-1)2+(y-2)2=25

D.(x+1)2+(y+2)2=25

查看答案和解析>>

科目:高中数学 来源:2015-2016学年广东省揭阳市高一上学期第一次阶段考试数学试卷(解析版) 题型:选择题

,规定:,例如:

,则的奇偶性为( )

A.是奇函数不是偶函数 B.是偶函数不是奇函数

C.既是奇函数又是偶函数 D.既不是奇函数又不是偶函数

查看答案和解析>>

科目:高中数学 来源:2015-2016学年广东省揭阳市高一上学期第一次阶段考试数学试卷(解析版) 题型:选择题

已知函数 ,则( )

A. B. C. D.

查看答案和解析>>

科目:高中数学 来源:2015-2016学年安徽省高一上学期第一次调研考试数学试卷(解析版) 题型:解答题

(本小题满分12分)(1)已知,求的解析式;

(2)设是定义在上是一个函数,且有,求的解析式。

查看答案和解析>>

科目:高中数学 来源:2015-2016学年宁夏育才中学高二上期中考试文科数学试卷(解析版) 题型:解答题

(本小题12分)设{an}是等差数列,{bn}是各项都为正数的等比数列,且a1=b1=1,a3+b5=21,a5+b3=13

(Ⅰ)求{an}、{bn}的通项公式;

(Ⅱ)求数列的前n项和Sn.

查看答案和解析>>

同步练习册答案