精英家教网 > 高中数学 > 题目详情

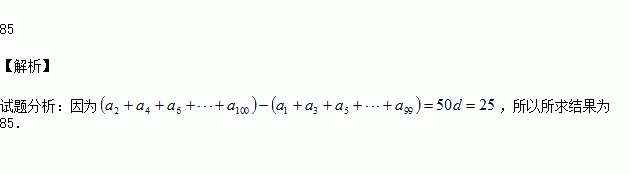
等差数列{an}中,公差为,且a1+a3+a5+…+a99=60,则a2+a4+a6+…+a100=______.

练习册系列答案
相关习题

科目:高中数学 来源:2015-2016学年浙江慈溪中学高一1-3班上期中数学卷(解析版) 题型:解答题

已知函数

(1)对任意的成立,求的取值范围;

(2)对有两个不等实根,求的取值范围.

查看答案和解析>>

科目:高中数学 来源:2015-2016学年河北石家庄二中高一上学期期中数学试卷(解析版) 题型:选择题

均为正数,且则 ( )

A. B. C. D.

查看答案和解析>>

科目:高中数学 来源:2015-2016学年吉林省扶余市高一上学期期中考试数学试卷(解析版) 题型:解答题

已知集合集合,若A=B ,求的值.

查看答案和解析>>

科目:高中数学 来源:2015-2016学年陕西省西安市高二上学期期中考试文科数学试卷(解析版) 题型:填空题

在△ABC中,cosA=,sinB=,则cosC的值为

查看答案和解析>>

科目:高中数学 来源:2016届四川省成都市高三11月段测三文科数学试卷(解析版) 题型:解答题

已知数列{an}的前n项和为Sn,若Sn=2an+n,且bn=n(1- an)

(1)求证:{an-1}为等比数列;

(2)求数列{bn}的前n项和Tn.

查看答案和解析>>

科目:高中数学 来源:2016届四川省成都市高三11月段测三理科数学试卷(解析版) 题型:选择题

设直角△ABC的三个顶点都在单位圆x2+ y2 =1上,点M(),则的最大值是( )

A.+l B.+2 C. D.

查看答案和解析>>

科目:高中数学 来源:2015-2016学年浙江省高二上学期期中数学试卷(解析版) 题型:选择题

已知不等式组表示的平面区域为D,若函数的图象上存在区域D上的点,则实数m的取值范围是( )

A. B. C. D.

查看答案和解析>>

科目:高中数学 来源:2015-2016学年辽宁省葫芦岛市高一上学期期中考试数学试卷(解析版) 题型:选择题

函数f(x)=

A .(-2,-1) B、(-1,0) C.(0,1) D.(1,2)

查看答案和解析>>

同步练习册答案