精英家教网 > 高中数学 > 题目详情

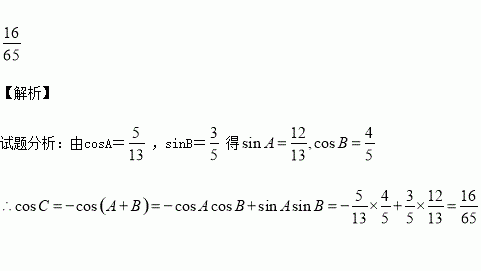
在△ABC中,cosA=,sinB=,则cosC的值为

练习册系列答案
相关习题

科目:高中数学 来源:2015-2016学年重庆市高一上学期期中数学试卷(解析版) 题型:解答题

集合,且实数

(1)证明:若,则

(2)是否存在实数满足?若存在,求出的值,不存在说明理由.

查看答案和解析>>

科目:高中数学 来源:2015-2016学年河北省高一上学期期中数学试卷(解析版) 题型:选择题

下列函数中,在区间上为增函数的是( )

A. B. C. D.

查看答案和解析>>

科目:高中数学 来源:2015-2016学年江苏省高邮市高一上学期期中调研数学试卷(解析版) 题型:解答题

求值:(1)

(2)已知,求.(用表示)

查看答案和解析>>

科目:高中数学 来源:2015-2016学年吉林省扶余市高一上学期期中考试数学试卷(解析版) 题型:选择题

若当时,函数,且),满足,则函数的图象大致是

查看答案和解析>>

科目:高中数学 来源:2015-2016学年河南省英文学校高二上学期期中考试数学试卷(解析版) 题型:填空题

等差数列{an}中,公差为,且a1+a3+a5+…+a99=60,则a2+a4+a6+…+a100=______.

查看答案和解析>>

科目:高中数学 来源:2016届四川省成都市高三11月段测三文科数学试卷(解析版) 题型:选择题

设直角△ABC的三个顶点都在单位圆x2+ y2=1上,点M(),则的最大值是( )

A.+l B.+2 C. D.

查看答案和解析>>

科目:高中数学 来源:2016届江西省高三上学期第三次考试理科数学试卷(解析版) 题型:选择题

函数的图象大致为( )

查看答案和解析>>

科目:高中数学 来源:2015-2016学年陕西省西安市高二上学期期中考试理科数学试卷(解析版) 题型:选择题

已知等差数列的公差是2,若a1,a3,a4成等比数列,则a2等于( )

A.-4 B.-6 C.-8 D.-10

查看答案和解析>>

同步练习册答案