精英家教网 > 高中数学 > 题目详情

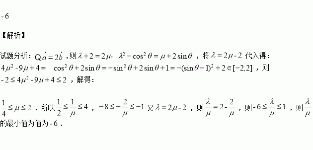
设两个向量,其中.若,则的最小值为______.

练习册系列答案
相关习题

科目:高中数学 来源:2015-2016学年吉林省高二下期末理科数学卷(解析版) 题型:选择题

已知 若方程有三个不同的实根,则的取值范围是( )

A. B. C. D.

查看答案和解析>>

科目:高中数学 来源:2015-2016学年山西省高二下期末理科数学试卷(解析版) 题型:选择题

已知变量的取值如下表.如果线性相关,且,则的值为( )

0

1

3

4

0.9

1.9

3.2

4.4

A.0.6 B.0.7 C.0.8 D.0.9

查看答案和解析>>

科目:高中数学 来源:2016届天津市和平区高三第四次模拟文科数学试卷(解析版) 题型:选择题

已知双曲线上的点到其焦点的最小距离为2,且渐近线方程为,则该双曲线的方程为( )

A. B.

C. D.

查看答案和解析>>

科目:高中数学 来源:2016届天津市和平区高三第四次模拟理科数学试卷(解析版) 题型:解答题

椭圆的上顶点为是椭圆上一点,以为直径的圆经过椭圆的右焦点

(Ⅰ)求椭圆的方程;

(Ⅱ)若动直线与椭圆只有一个公共点,且轴上存在着两个定点,它们到直线的距离之积等于1,求出这两个定点的坐标.

查看答案和解析>>

科目:高中数学 来源:2016届天津市和平区高三第四次模拟理科数学试卷(解析版) 题型:填空题

的展开式中,系数为有理数的项的所有系数之和为______.

查看答案和解析>>

科目:高中数学 来源:2016届天津市和平区高三第四次模拟理科数学试卷(解析版) 题型:选择题

已知变量满足约束条件,则的取值范围是( )

A.

B.

C.

D.

查看答案和解析>>

科目:高中数学 来源:2015-2016学年湖南衡阳一中高一下期末数学试卷(解析版) 题型:选择题

中,若,则的形状是( )

A.直角三角形 B.等边三角形 C.等腰三角形 D.不能确定

查看答案和解析>>

科目:高中数学 来源:2015-2016学年福建福州八中高二下期中文科数学试卷(解析版) 题型:填空题

已知,若存在,满足,则称的一个“友好”三角形,若等腰存在“友好”三角形,则其顶角的度数为___.

查看答案和解析>>

同步练习册答案