精英家教网 > 高中数学 > 题目详情

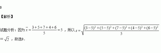
已知五个数据3,5,7,4,6,则该样本标准差为( )

A.1 B. C. D.2

练习册系列答案
相关习题

科目:高中数学 来源:2015-2016学年辽宁省葫芦岛市高二上期中理科数学卷(解析版) 题型:解答题

已知动点与两定点连线的斜率之积为

(1)求动点的轨迹C的方程;

(2)若过点的直线交轨迹于M、N两点,且轨迹上存在点E使得四边形OMEN(O为坐标原点)为平行四边形,求直线的方程.

查看答案和解析>>

科目:高中数学 来源:2015-2016学年黑龙江省高一上期末数学试卷(解析版) 题型:填空题

若一扇形的面积为80π ,半径为20 ,则该扇形的圆心角为________.

查看答案和解析>>

科目:高中数学 来源:2015-2016学年海南省高一上学期期中数学试卷(解析版) 题型:选择题

已知,且的值为( )

A.4 B. C. D.

查看答案和解析>>

科目:高中数学 来源:2015-2016学年贵州省凯里市高二上期末文科数学试卷(解析版) 题型:选择题

某工厂生产产品,用传送带将产品送到下一道工序,质检人员每隔十分钟在传送带的某一个位置取一件检验,则这种抽样方法是( )

A.简单随机抽样 B.系统抽样 C.分层抽样 D.非上述答案

查看答案和解析>>

科目:高中数学 来源:2015-2016学年广东汕头金山中学高二上12月考理数学卷(解析版) 题型:选择题

等轴双曲线的中心在原点,焦点在轴上,与抛物线的准线交于两点,;则的实轴长为( )

A. B. C. D.

查看答案和解析>>

科目:高中数学 来源:2016届浙江省等高三第一次五校联考文科数学试卷(解析版) 题型:解答题

已知数列为等比数列,其前项和为,已知,且对于任意的,有成等差数列.

(1)求数列的通项公式.

(2)已知),记,若对于恒成立,求实数的范围.

查看答案和解析>>

科目:高中数学 来源:2014-2015学年江西省高一下学期期中数学试卷(解析版) 题型:选择题

已知,则的大小关系是( )

A. B. C. D.

查看答案和解析>>

科目:高中数学 来源:2015-2016学年吉林省高二上期中文科数学试卷(解析版) 题型:选择题

已知直线与直线互相垂直,则的最小值为

A.5 B.4 C.2 D.1

查看答案和解析>>

同步练习册答案